您好!欢迎来到化工e站网 登录 注册
我的EWeb ▼
导航菜单 ▼
中文 ▼
医药中间体
无机化工
有机原料
原料药
染料及颜料
表面活性剂
香精与香料
化学试剂
食品添加剂
催化剂及助剂
分析化学
首页 化工产品目录 Card-20(22)-enolide, 3-[(6-deoxy-3-O-methyl-α-L-glucopyranosyl)oxy]-8,14-dihydroxy-, (3β,5β)- (9CI)
111535-12-7
Card-20(22)-enolide, 3-[(6-deoxy-3-O-methyl-α-L-glucopyranosyl)oxy]-8,14-dihydroxy-, (3β,5β)- (9CI)
产品纠错
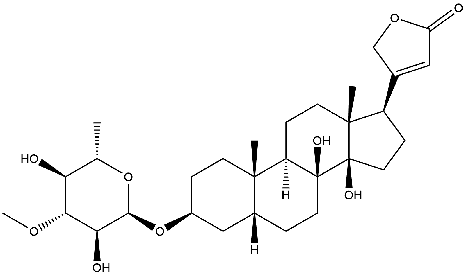
CAS号:111535-12-7 | 英文名称:Card-20(22)-enolide, 3-[(6-deoxy-3-O-methyl-α-L-glucopyranosyl)oxy]-8,14-dihydroxy-, (3β,5β)- (9CI)
分子式 C30H46O9
分子量
EINECS号
MDL
Smiles
InChIKey
Card-20(22)-enolide, 3-[(6-deoxy-3-O-methyl-α-L-glucopyranosyl)oxy]-8,14-dihydroxy-, (3β,5β)- (9CI)化学百科
基本信息
中文名称 Card-20(22)-enolide, 3-[(6-deoxy-3-O-methyl-α-L-glucopyranosyl)oxy]-8,14-dihydroxy-, (3β,5β)- (9CI)
英文名称 Card-20(22)-enolide, 3-[(6-deoxy-3-O-methyl-α-L-glucopyranosyl)oxy]-8,14-dihydroxy-, (3β,5β)- (9CI)
CAS号 111535-12-7
分子式 C30H46O9
分子量 550.68
物化性质
安全信息
生产及用途
上下游产品
上游产品共计:0
下游产品共计:0
相关产品
产品供应商