您好!欢迎来到化工e站网 登录 注册
我的EWeb ▼
导航菜单 ▼
中文 ▼
医药中间体
无机化工
有机原料
原料药
染料及颜料
表面活性剂
香精与香料
化学试剂
食品添加剂
催化剂及助剂
分析化学
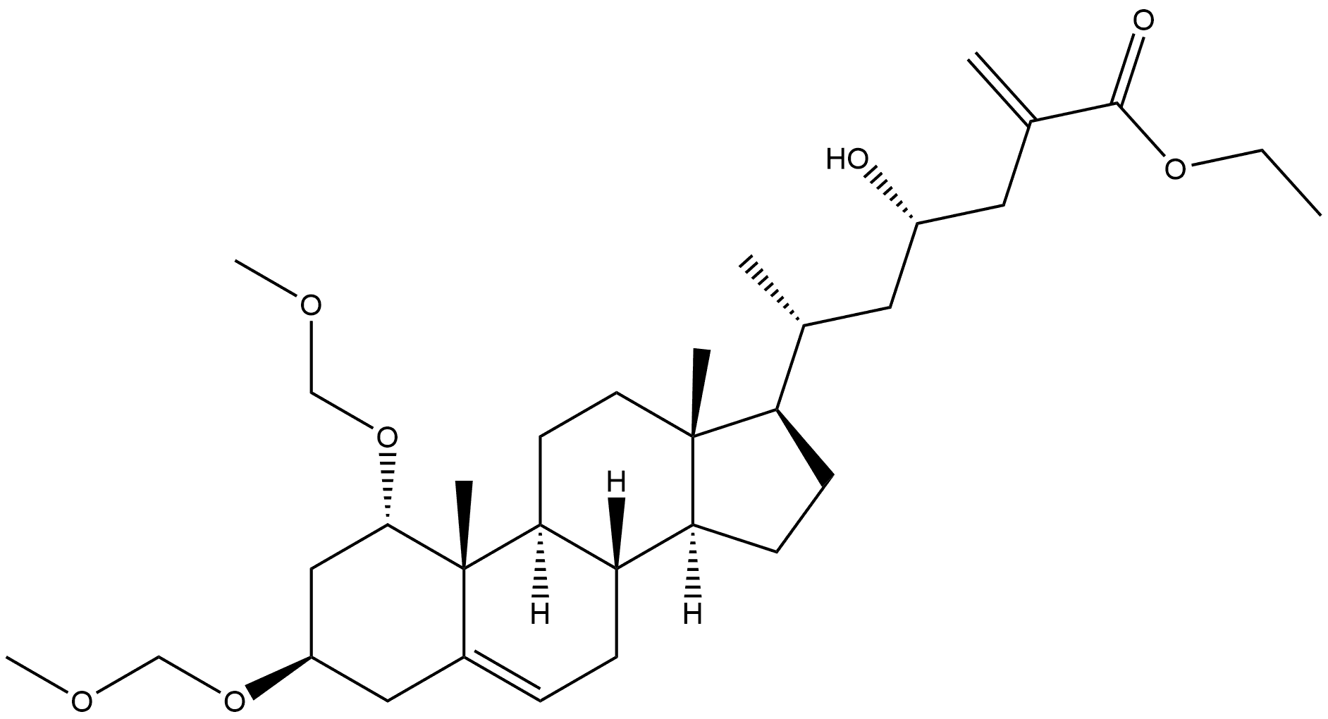
首页 化工产品目录 Cholesta-5,25(27)-dien-26-oic acid, 23-hydroxy-1,3-bis(methoxymethoxy)-, ethyl ester, (1α,3β,23S)- (9CI)
111478-70-7
Cholesta-5,25(27)-dien-26-oic acid, 23-hydroxy-1,3-bis(methoxymethoxy)-, ethyl ester, (1α,3β,23S)- (9CI)
产品纠错
CAS号:111478-70-7 | 英文名称:Cholesta-5,25(27)-dien-26-oic acid, 23-hydroxy-1,3-bis(methoxymethoxy)-, ethyl ester, (1α,3β,23S)- (9CI)
分子式
分子量
EINECS号
MDL
Smiles
InChIKey
Cholesta-5,25(27)-dien-26-oic acid, 23-hydroxy-1,3-bis(methoxymethoxy)-, ethyl ester, (1α,3β,23S)- (9CI)化学百科
基本信息
物化性质
安全信息
生产及用途
上下游产品
上游产品共计:0
下游产品共计:0
相关产品
产品供应商