您好!欢迎来到化工e站网 登录 注册
我的EWeb ▼
导航菜单 ▼
中文 ▼
医药中间体
无机化工
有机原料
原料药
染料及颜料
表面活性剂
香精与香料
化学试剂
食品添加剂
催化剂及助剂
分析化学
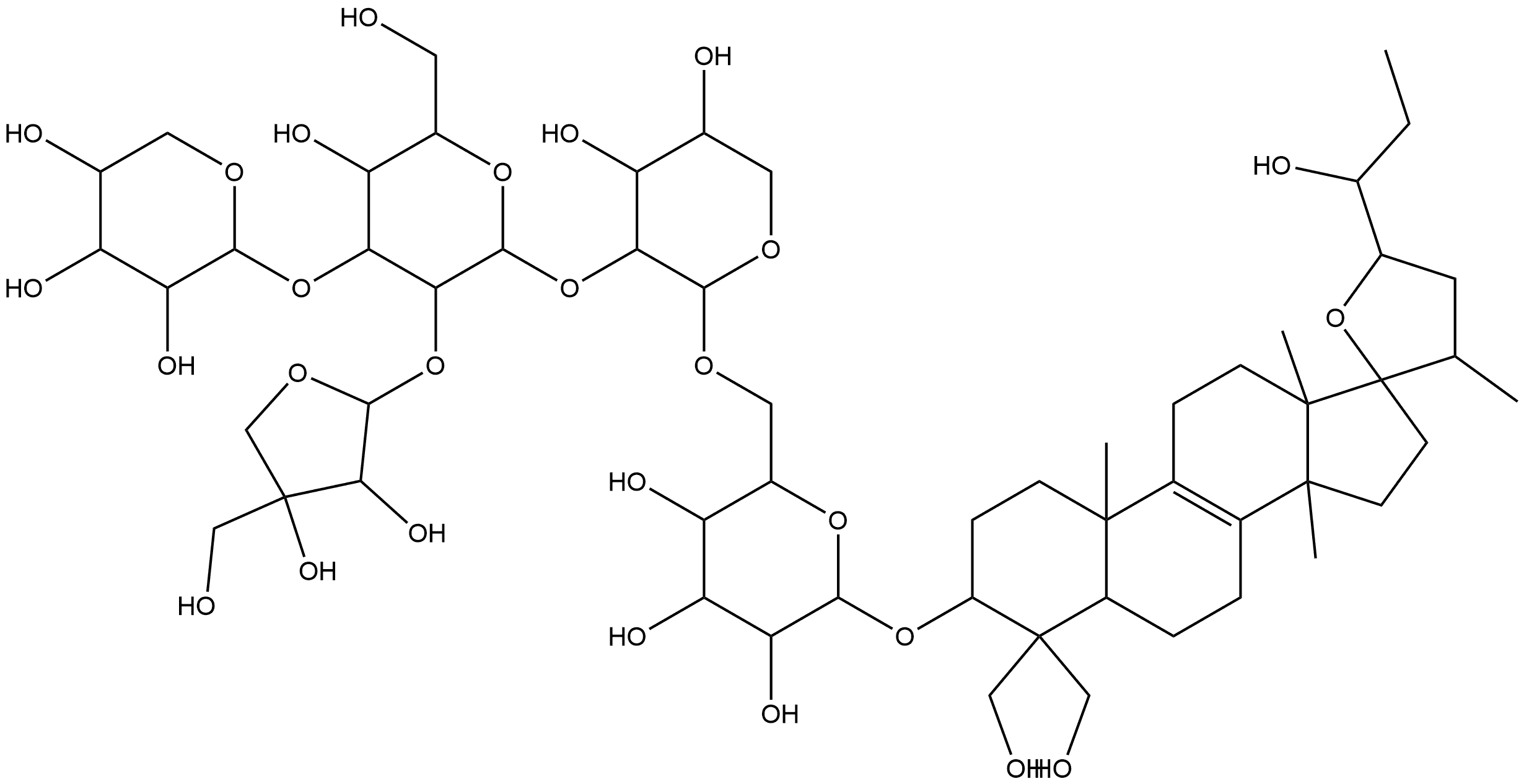
首页 化工产品目录 β-D-Glucopyranoside, (3β,23S,24S)-17,23-epoxy-24,28,29-trihydroxy-27-norlanost-8-en-3-yl O-D-apio-β-D-furanosyl-(1→2)-O-[α-L-arabinopyranosyl-(1→3)]-O-β-D-glucopyranosyl-(1→2)-O-α-L-arabinopyranosyl-(1→6)- (9CI)
111252-15-4
β-D-Glucopyranoside, (3β,23S,24S)-17,23-epoxy-24,28,29-trihydroxy-27-norlanost-8-en-3-yl O-D-apio-β-D-furanosyl-(1→2)-O-[α-L-arabinopyranosyl-(1→3)]-O-β-D-glucopyranosyl-(1→2)-O-α-L-arabinopyranosyl-(1→6)- (9CI)
产品纠错
CAS号:111252-15-4 | 英文名称:β-D-Glucopyranoside, (3β,23S,24S)-17,23-epoxy-24,28,29-trihydroxy-27-norlanost-8-en-3-yl O-D-apio-β-D-furanosyl-(1→2)-O-[α-L-arabinopyranosyl-(1→3)]-O-β-D-glucopyranosyl-(1→2)-O-α-L-arabinopyranosyl-(1→6)- (9CI)
分子式 C56H92O27
分子量
EINECS号
MDL
Smiles
InChIKey
β-D-Glucopyranoside, (3β,23S,24S)-17,23-epoxy-24,28,29-trihydroxy-27-norlanost-8-en-3-yl O-D-apio-β-D-furanosyl-(1→2)-O-[α-L-arabinopyranosyl-(1→3)]-O-β-D-glucopyranosyl-(1→2)-O-α-L-arabinopyranosyl-(1→6)- (9CI)化学百科
基本信息
中文名称 β-D-Glucopyranoside, (3β,23S,24S)-17,23-epoxy-24,28,29-trihydroxy-27-norlanost-8-en-3-yl O-D-apio-β-D-furanosyl-(1→2)-O-[α-L-arabinopyranosyl-(1→3)]-O-β-D-glucopyranosyl-(1→2)-O-α-L-arabinopyranosyl-(1→6)- (9CI)
英文名称 β-D-Glucopyranoside, (3β,23S,24S)-17,23-epoxy-24,28,29-trihydroxy-27-norlanost-8-en-3-yl O-D-apio-β-D-furanosyl-(1→2)-O-[α-L-arabinopyranosyl-(1→3)]-O-β-D-glucopyranosyl-(1→2)-O-α-L-arabinopyranosyl-(1→6)- (9CI)
CAS号 111252-15-4
分子式 C56H92O27
分子量 1197.31
物化性质
安全信息
生产及用途
上下游产品
上游产品共计:0
下游产品共计:0
相关产品
产品供应商