您好!欢迎来到化工e站网 登录 注册
我的EWeb ▼
导航菜单 ▼
中文 ▼
医药中间体
无机化工
有机原料
原料药
染料及颜料
表面活性剂
香精与香料
化学试剂
食品添加剂
催化剂及助剂
分析化学
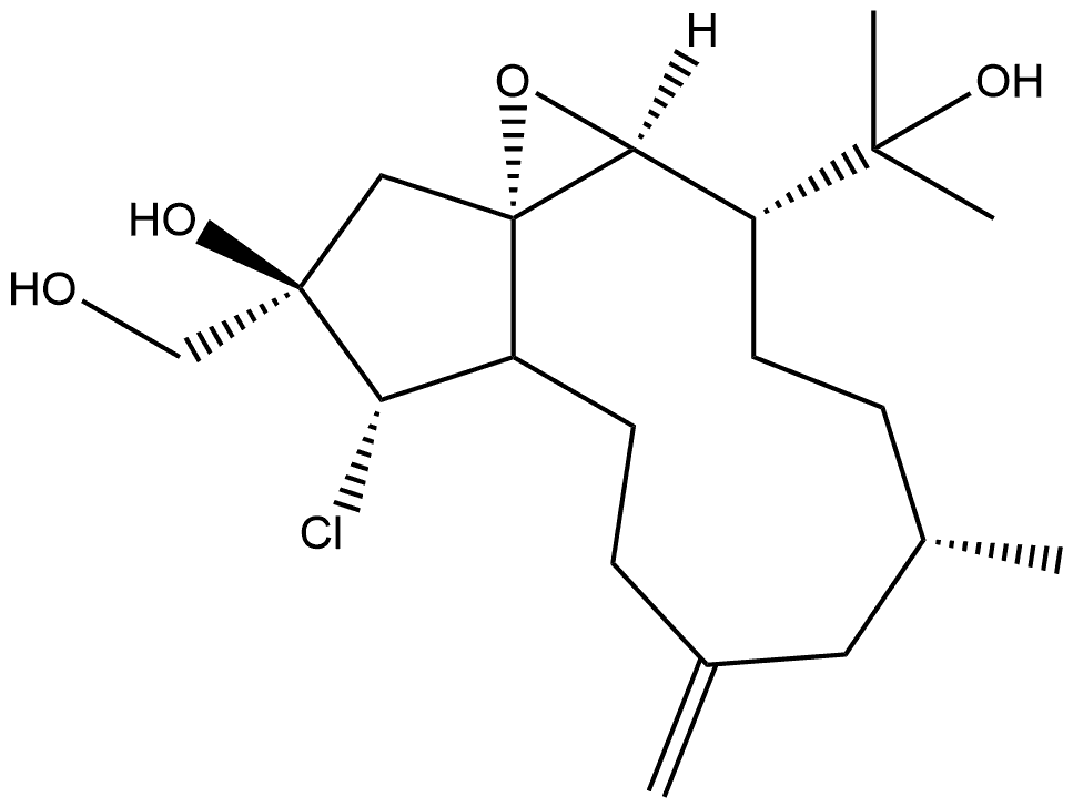
首页 化工产品目录 3H-Cyclopenta[1,11]cycloundec[1,2-b]oxirene-3,12-dimethanol, 4-chlorododecahydro-3-hydroxy-α12,α12,9a-trimethyl-7-methylene-, (1aS,3R,4S,9aR,12R,12aS)- (9CI)
111233-44-4
3H-Cyclopenta[1,11]cycloundec[1,2-b]oxirene-3,12-dimethanol, 4-chlorododecahydro-3-hydroxy-α12,α12,9a-trimethyl-7-methylene-, (1aS,3R,4S,9aR,12R,12aS)- (9CI)
产品纠错
CAS号:111233-44-4 | 英文名称:3H-Cyclopenta[1,11]cycloundec[1,2-b]oxirene-3,12-dimethanol, 4-chlorododecahydro-3-hydroxy-α12,α12,9a-trimethyl-7-methylene-, (1aS,3R,4S,9aR,12R,12aS)- (9CI)
分子式 C20H33ClO4
分子量 373
EINECS号
MDL
Smiles
InChIKey
3H-Cyclopenta[1,11]cycloundec[1,2-b]oxirene-3,12-dimethanol, 4-chlorododecahydro-3-hydroxy-α12,α12,9a-trimethyl-7-methylene-, (1aS,3R,4S,9aR,12R,12aS)- (9CI)化学百科
基本信息
物化性质
安全信息
生产及用途
上下游产品
上游产品共计:0
下游产品共计:0
相关产品
产品供应商