您好!欢迎来到化工e站网 登录 注册
我的EWeb ▼
导航菜单 ▼
中文 ▼
医药中间体
无机化工
有机原料
原料药
染料及颜料
表面活性剂
香精与香料
化学试剂
食品添加剂
催化剂及助剂
分析化学
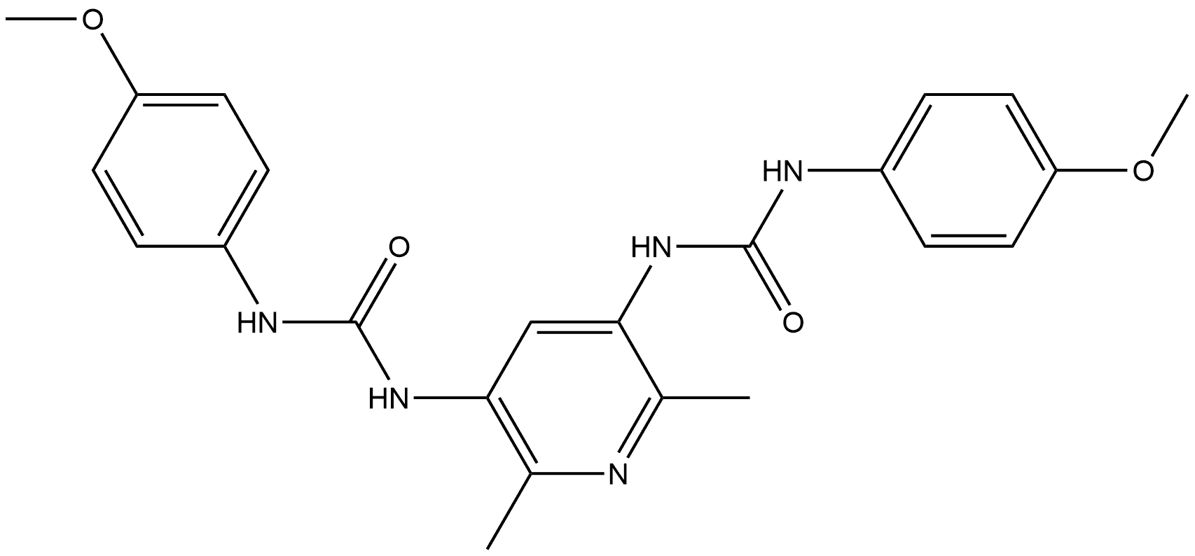
首页 化工产品目录 Urea, N,N''-(2,6-dimethyl-3,5-pyridinediyl)bis[N'-(4-methoxyphenyl)- (9CI)
111233-15-9
Urea, N,N''-(2,6-dimethyl-3,5-pyridinediyl)bis[N'-(4-methoxyphenyl)- (9CI)
产品纠错
CAS号:111233-15-9 | 英文名称:Urea, N,N''-(2,6-dimethyl-3,5-pyridinediyl)bis[N'-(4-methoxyphenyl)- (9CI)
分子式
分子量
EINECS号
MDL
Smiles
InChIKey
Urea, N,N''-(2,6-dimethyl-3,5-pyridinediyl)bis[N'-(4-methoxyphenyl)- (9CI)化学百科
基本信息
中文名称 Urea, N,N''-(2,6-dimethyl-3,5-pyridinediyl)bis[N'-(4-methoxyphenyl)- (9CI)
英文名称 Urea, N,N''-(2,6-dimethyl-3,5-pyridinediyl)bis[N'-(4-methoxyphenyl)- (9CI)
CAS号 111233-15-9
分子式 C23H25N5O4
分子量 435.48
物化性质
安全信息
生产及用途
上下游产品
上游产品共计:0
下游产品共计:0
相关产品
产品供应商