您好!欢迎来到化工e站网 登录 注册
我的EWeb ▼
导航菜单 ▼
中文 ▼
医药中间体
无机化工
有机原料
原料药
染料及颜料
表面活性剂
香精与香料
化学试剂
食品添加剂
催化剂及助剂
分析化学
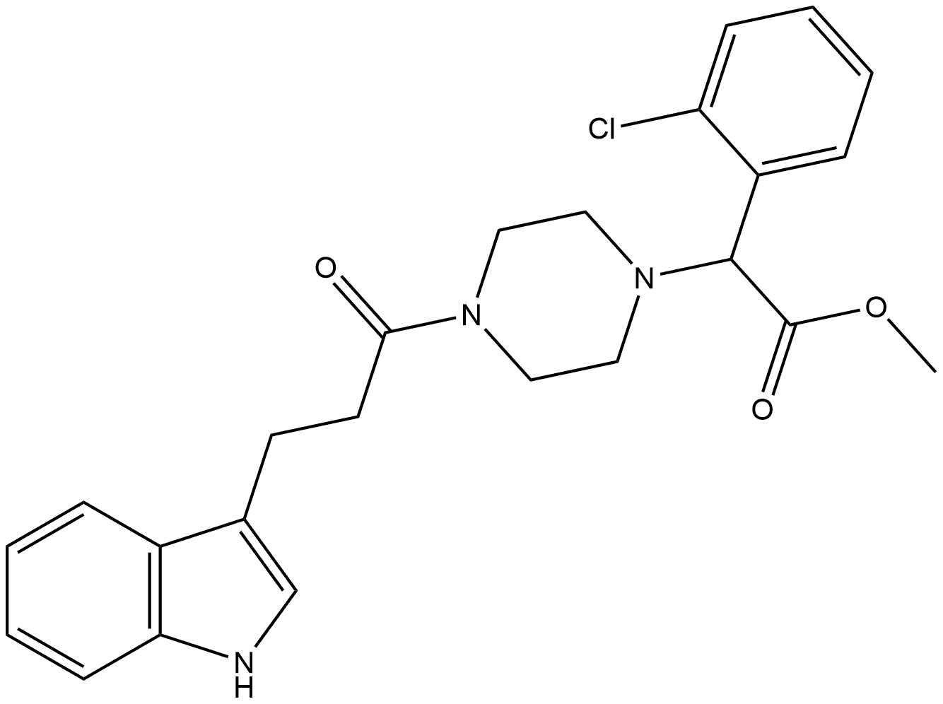
首页 化工产品目录 1-Piperazineacetic acid, α-(2-chlorophenyl)-4-[3-(1H-indol-3-yl)-1-oxopropyl]-, methyl ester
1111578-15-4
1-Piperazineacetic acid, α-(2-chlorophenyl)-4-[3-(1H-indol-3-yl)-1-oxopropyl]-, methyl ester
产品纠错
CAS号:1111578-15-4 | 英文名称:1-Piperazineacetic acid, α-(2-chlorophenyl)-4-[3-(1H-indol-3-yl)-1-oxopropyl]-, methyl ester
分子式 C24H26ClN3O3
分子量 440
EINECS号
MDL
Smiles
InChIKey
1-Piperazineacetic acid, α-(2-chlorophenyl)-4-[3-(1H-indol-3-yl)-1-oxopropyl]-, methyl ester化学百科
基本信息
中文名称 1-Piperazineacetic acid, α-(2-chlorophenyl)-4-[3-(1H-indol-3-yl)-1-oxopropyl]-, methyl ester
英文名称 1-Piperazineacetic acid, α-(2-chlorophenyl)-4-[3-(1H-indol-3-yl)-1-oxopropyl]-, methyl ester
CAS号 1111578-15-4
分子式 C24H26ClN3O3
分子量 439.93
物化性质
安全信息
生产及用途
上下游产品
上游产品共计:0
下游产品共计:0
相关产品
产品供应商