您好!欢迎来到化工e站网 登录 注册
我的EWeb ▼
导航菜单 ▼
中文 ▼
医药中间体
无机化工
有机原料
原料药
染料及颜料
表面活性剂
香精与香料
化学试剂
食品添加剂
催化剂及助剂
分析化学
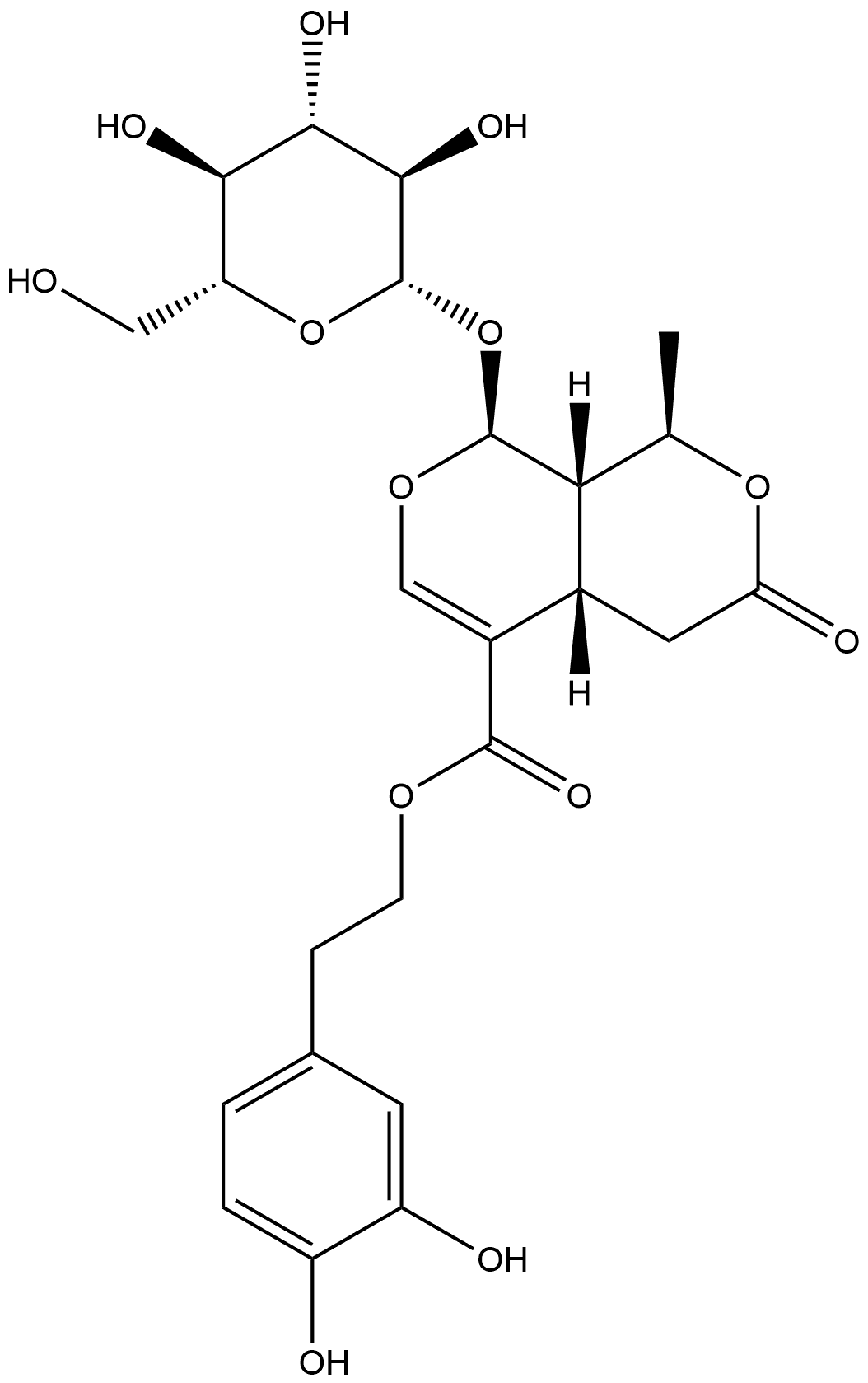
首页 化工产品目录 1H,3H-Pyrano[3,4-c]pyran-5-carboxylic acid, 8-(β-D-glucopyranosyloxy)-4,4a,8,8a-tetrahydro-1-methyl-3-oxo-, 2-(3,4-dihydroxyphenyl)ethyl ester, (1R,4aS,8S,8aS)-
111116-40-6
1H,3H-Pyrano[3,4-c]pyran-5-carboxylic acid, 8-(β-D-glucopyranosyloxy)-4,4a,8,8a-tetrahydro-1-methyl-3-oxo-, 2-(3,4-dihydroxyphenyl)ethyl ester, (1R,4aS,8S,8aS)-
产品纠错
CAS号:111116-40-6 | 英文名称:1H,3H-Pyrano[3,4-c]pyran-5-carboxylic acid, 8-(β-D-glucopyranosyloxy)-4,4a,8,8a-tetrahydro-1-methyl-3-oxo-, 2-(3,4-dihydroxyphenyl)ethyl ester, (1R,4aS,8S,8aS)-
分子式
分子量
EINECS号
MDL
Smiles
InChIKey
1H,3H-Pyrano[3,4-c]pyran-5-carboxylic acid, 8-(β-D-glucopyranosyloxy)-4,4a,8,8a-tetrahydro-1-methyl-3-oxo-, 2-(3,4-dihydroxyphenyl)ethyl ester, (1R,4aS,8S,8aS)-化学百科
基本信息
物化性质
安全信息
生产及用途
上下游产品
上游产品共计:0
下游产品共计:0
相关产品
产品供应商