您好!欢迎来到化工e站网 登录 注册
我的EWeb ▼
导航菜单 ▼
中文 ▼
医药中间体
无机化工
有机原料
原料药
染料及颜料
表面活性剂
香精与香料
化学试剂
食品添加剂
催化剂及助剂
分析化学
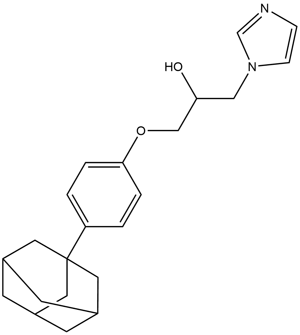
首页 化工产品目录 1H-Imidazole-1-ethanol, α-[(4-tricyclo[3.3.1.13,7]dec-1-ylphenoxy)methyl]-
1110905-43-5
1H-Imidazole-1-ethanol, α-[(4-tricyclo[3.3.1.13,7]dec-1-ylphenoxy)methyl]-
产品纠错
CAS号:1110905-43-5 | 英文名称:1H-Imidazole-1-ethanol, α-[(4-tricyclo[3.3.1.13,7]dec-1-ylphenoxy)methyl]-
分子式 C22H28N2O2
分子量 352
EINECS号
MDL
Smiles
InChIKey
1H-Imidazole-1-ethanol, α-[(4-tricyclo[3.3.1.13,7]dec-1-ylphenoxy)methyl]-化学百科
基本信息
中文名称 1H-Imidazole-1-ethanol, α-[(4-tricyclo[3.3.1.13,7]dec-1-ylphenoxy)methyl]-
英文名称 1H-Imidazole-1-ethanol, α-[(4-tricyclo[3.3.1.13,7]dec-1-ylphenoxy)methyl]-
CAS号 1110905-43-5
分子式 C22H28N2O2
分子量 352.47
物化性质
安全信息
生产及用途
上下游产品
上游产品共计:0
下游产品共计:0
相关产品
产品供应商