您好!欢迎来到化工e站网 登录 注册
我的EWeb ▼
导航菜单 ▼
中文 ▼
医药中间体
无机化工
有机原料
原料药
染料及颜料
表面活性剂
香精与香料
化学试剂
食品添加剂
催化剂及助剂
分析化学
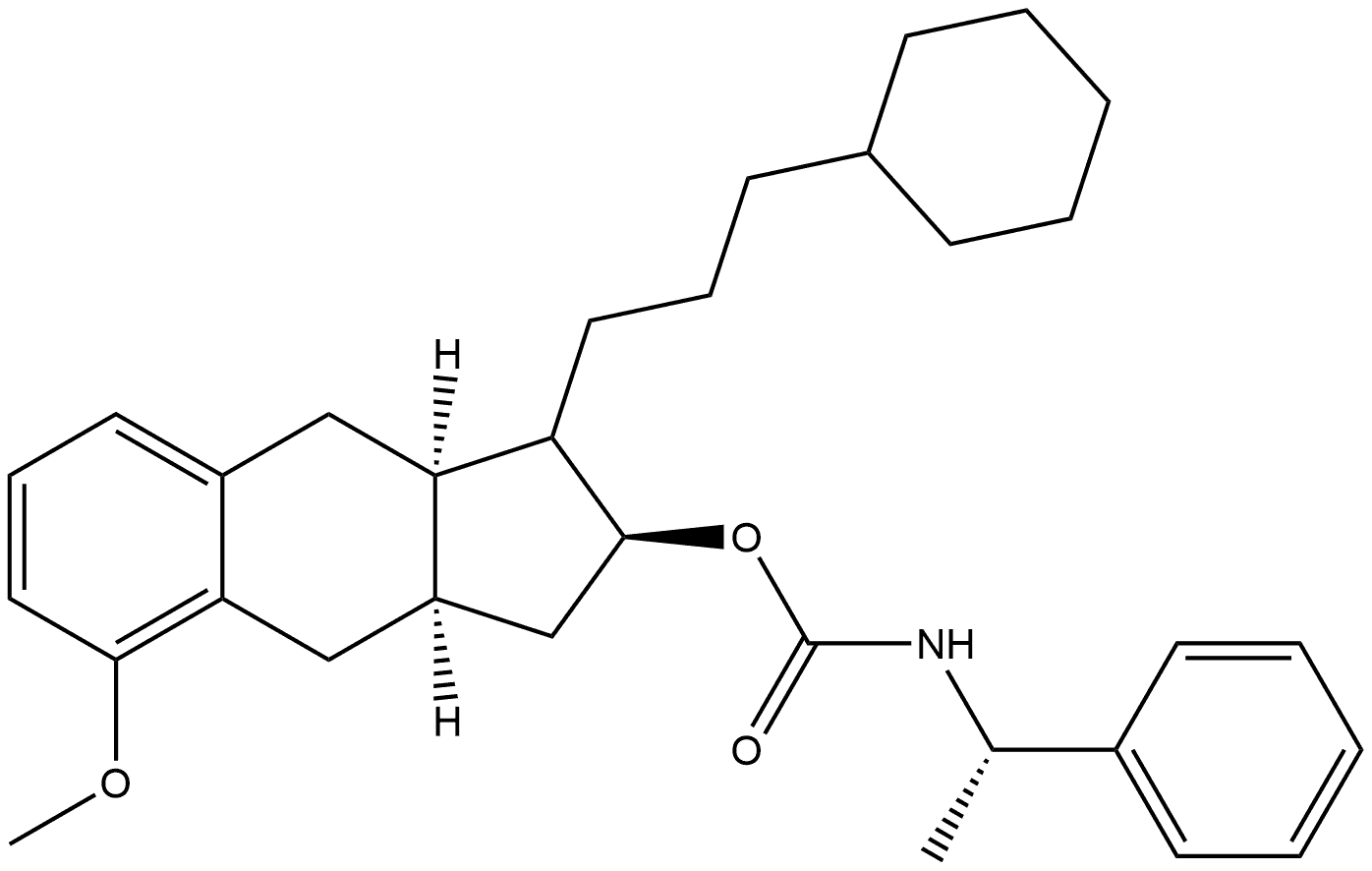
首页 化工产品目录 Carbamic acid, (1-phenylethyl)-, 1-(3-cyclohexylpropyl)-2,3,3a,4,9,9a-hexahydro-5-methoxy-1H-benz[f]inden-2-yl ester, [1R-[1α,2β(S*),3aα,9aα]]- (9CI)
111025-97-9
Carbamic acid, (1-phenylethyl)-, 1-(3-cyclohexylpropyl)-2,3,3a,4,9,9a-hexahydro-5-methoxy-1H-benz[f]inden-2-yl ester, [1R-[1α,2β(S*),3aα,9aα]]- (9CI)
产品纠错
CAS号:111025-97-9 | 英文名称:Carbamic acid, (1-phenylethyl)-, 1-(3-cyclohexylpropyl)-2,3,3a,4,9,9a-hexahydro-5-methoxy-1H-benz[f]inden-2-yl ester, [1R-[1α,2β(S*),3aα,9aα]]- (9CI)
分子式 C32H43NO3
分子量 490
EINECS号
MDL
Smiles
InChIKey
Carbamic acid, (1-phenylethyl)-, 1-(3-cyclohexylpropyl)-2,3,3a,4,9,9a-hexahydro-5-methoxy-1H-benz[f]inden-2-yl ester, [1R-[1α,2β(S*),3aα,9aα]]- (9CI)化学百科
基本信息
物化性质
安全信息
生产及用途
上下游产品
上游产品共计:0
下游产品共计:0
相关产品
产品供应商