您好!欢迎来到化工e站网 登录 注册
我的EWeb ▼
导航菜单 ▼
中文 ▼
医药中间体
无机化工
有机原料
原料药
染料及颜料
表面活性剂
香精与香料
化学试剂
食品添加剂
催化剂及助剂
分析化学
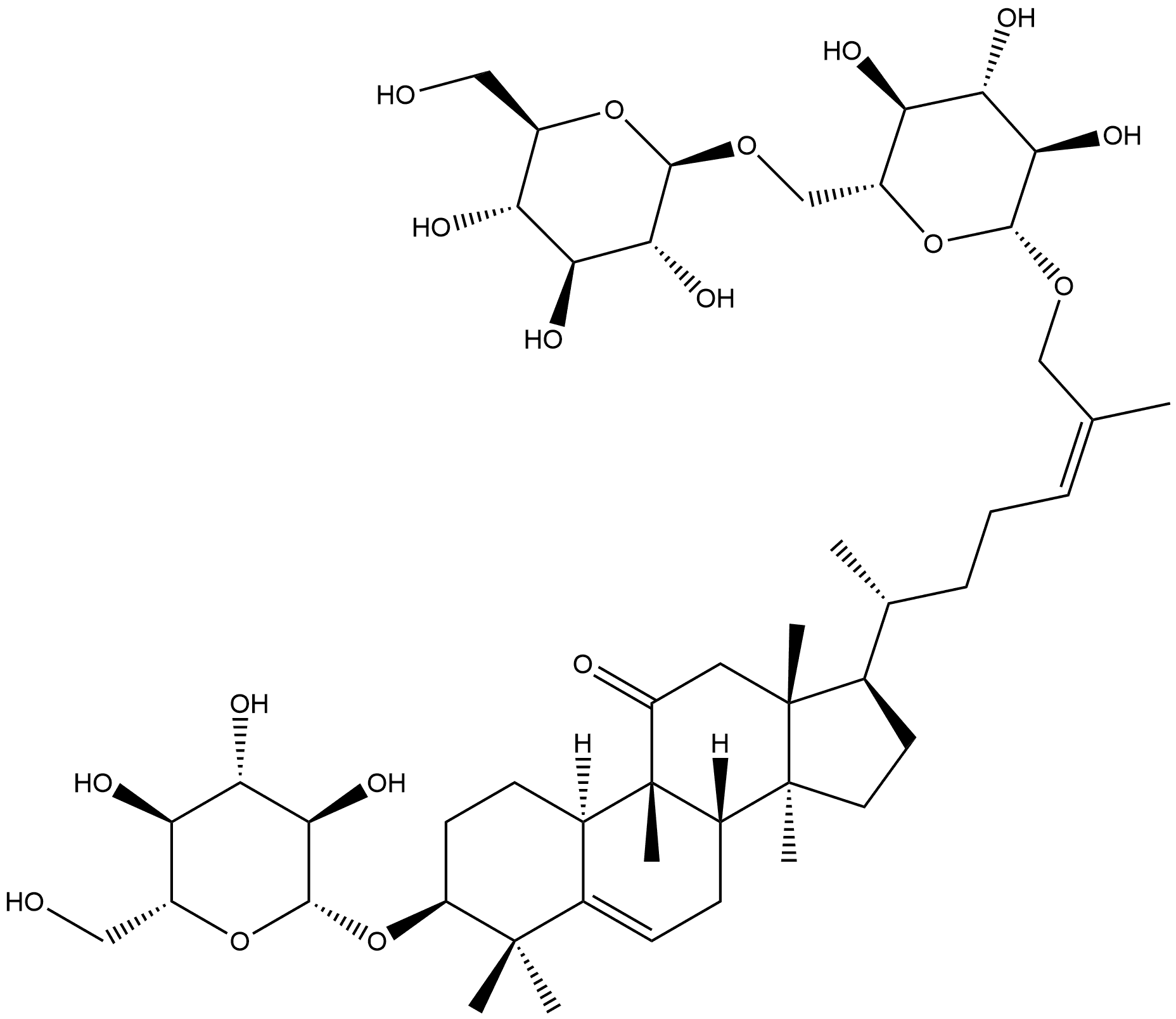
首页 化工产品目录 19-Norlanosta-5,24-dien-11-one, 26-[(6-O-β-D-glucopyranosyl-β-D-glucopyranosyl)oxy]-3-(β-D-glucopyranosyloxy)-9-methyl-, (3β,9β,10α,24Z)-
109985-93-5
19-Norlanosta-5,24-dien-11-one, 26-[(6-O-β-D-glucopyranosyl-β-D-glucopyranosyl)oxy]-3-(β-D-glucopyranosyloxy)-9-methyl-, (3β,9β,10α,24Z)-
产品纠错
CAS号:109985-93-5 | 英文名称:19-Norlanosta-5,24-dien-11-one, 26-[(6-O-β-D-glucopyranosyl-β-D-glucopyranosyl)oxy]-3-(β-D-glucopyranosyloxy)-9-methyl-, (3β,9β,10α,24Z)-
分子式
分子量
EINECS号
MDL
Smiles
InChIKey
19-Norlanosta-5,24-dien-11-one, 26-[(6-O-β-D-glucopyranosyl-β-D-glucopyranosyl)oxy]-3-(β-D-glucopyranosyloxy)-9-methyl-, (3β,9β,10α,24Z)-化学百科
基本信息
物化性质
安全信息
生产及用途
上下游产品
上游产品共计:0
下游产品共计:0
相关产品
产品供应商