您好!欢迎来到化工e站网 登录 注册
我的EWeb ▼
导航菜单 ▼
中文 ▼
医药中间体
无机化工
有机原料
原料药
染料及颜料
表面活性剂
香精与香料
化学试剂
食品添加剂
催化剂及助剂
分析化学
首页 化工产品目录 Olean-12-en-28-oic acid, 2,3,19,23-tetrahydroxy-, 2-O-β-D-xylopyranosyl-β-D-glucopyranosyl ester, (2α,3β,4α,19α)- (9CI)
109792-81-6
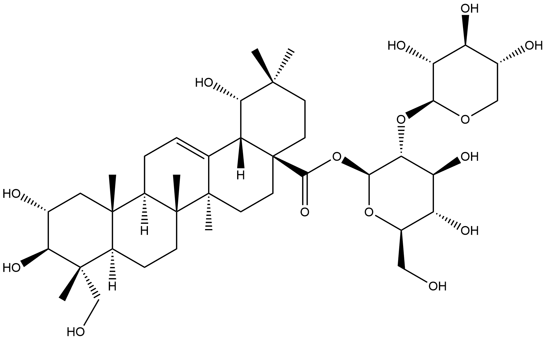
Olean-12-en-28-oic acid, 2,3,19,23-tetrahydroxy-, 2-O-β-D-xylopyranosyl-β-D-glucopyranosyl ester, (2α,3β,4α,19α)- (9CI)
产品纠错
CAS号:109792-81-6 | 英文名称:Olean-12-en-28-oic acid, 2,3,19,23-tetrahydroxy-, 2-O-β-D-xylopyranosyl-β-D-glucopyranosyl ester, (2α,3β,4α,19α)- (9CI)
分子式
分子量
EINECS号
MDL
Smiles
InChIKey
Olean-12-en-28-oic acid, 2,3,19,23-tetrahydroxy-, 2-O-β-D-xylopyranosyl-β-D-glucopyranosyl ester, (2α,3β,4α,19α)- (9CI)化学百科
基本信息
中文名称 Olean-12-en-28-oic acid, 2,3,19,23-tetrahydroxy-, 2-O-β-D-xylopyranosyl-β-D-glucopyranosyl ester, (2α,3β,4α,19α)- (9CI)
英文名称 Olean-12-en-28-oic acid, 2,3,19,23-tetrahydroxy-, 2-O-β-D-xylopyranosyl-β-D-glucopyranosyl ester, (2α,3β,4α,19α)- (9CI)
CAS号 109792-81-6
分子式 C41H66O15
分子量 798.95
物化性质
安全信息
生产及用途
上下游产品
上游产品共计:0
下游产品共计:0
相关产品
产品供应商