您好!欢迎来到化工e站网 登录 注册
我的EWeb ▼
导航菜单 ▼
中文 ▼
医药中间体
无机化工
有机原料
原料药
染料及颜料
表面活性剂
香精与香料
化学试剂
食品添加剂
催化剂及助剂
分析化学
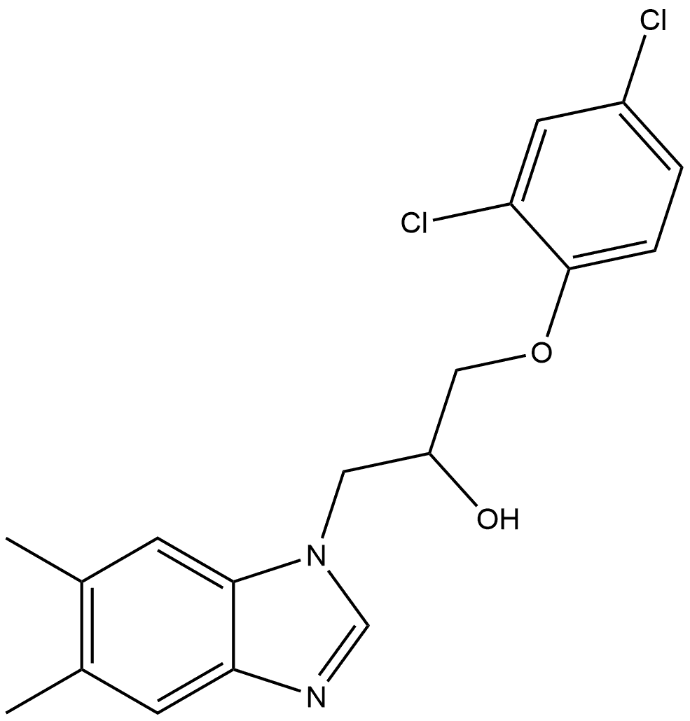
首页 化工产品目录 1H-Benzimidazole-1-ethanol, α-[(2,4-dichlorophenoxy)methyl]-5,6-dimethyl-
1097493-01-0
1H-Benzimidazole-1-ethanol, α-[(2,4-dichlorophenoxy)methyl]-5,6-dimethyl-
产品纠错
CAS号:1097493-01-0 | 英文名称:1H-Benzimidazole-1-ethanol, α-[(2,4-dichlorophenoxy)methyl]-5,6-dimethyl-
分子式 C18H18Cl2N2O2
分子量 365
EINECS号
MDL
Smiles
InChIKey
1H-Benzimidazole-1-ethanol, α-[(2,4-dichlorophenoxy)methyl]-5,6-dimethyl-化学百科
基本信息
中文名称 1H-Benzimidazole-1-ethanol, α-[(2,4-dichlorophenoxy)methyl]-5,6-dimethyl-
英文名称 1H-Benzimidazole-1-ethanol, α-[(2,4-dichlorophenoxy)methyl]-5,6-dimethyl-
CAS号 1097493-01-0
分子式 C18H18Cl2N2O2
分子量 365.25
物化性质
安全信息
生产及用途
上下游产品
上游产品共计:0
下游产品共计:0
相关产品
产品供应商