您好!欢迎来到化工e站网 登录 注册
我的EWeb ▼
导航菜单 ▼
中文 ▼
医药中间体
无机化工
有机原料
原料药
染料及颜料
表面活性剂
香精与香料
化学试剂
食品添加剂
催化剂及助剂
分析化学
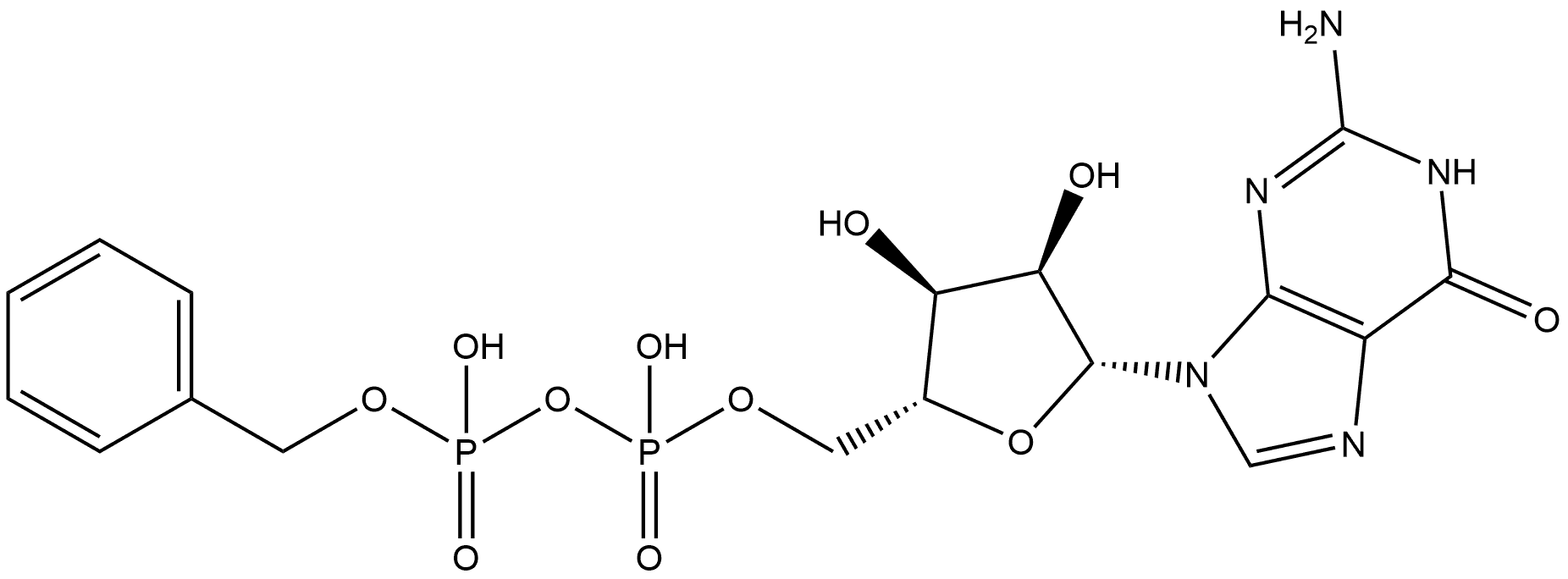
首页 化工产品目录 Guanosine diphosphate, benzyl ester (6CI)
109653-33-0
Guanosine diphosphate, benzyl ester (6CI)
产品纠错
CAS号:109653-33-0 | 英文名称:Guanosine diphosphate, benzyl ester (6CI)
分子式 C17H21N5O11P2
分子量
EINECS号
MDL
Smiles
InChIKey
Guanosine diphosphate, benzyl ester (6CI)化学百科
基本信息
中文名称 Guanosine diphosphate, benzyl ester (6CI)
英文名称 Guanosine diphosphate, benzyl ester (6CI)
CAS号 109653-33-0
分子式 C17H21N5O11P2
分子量 533.32
物化性质
安全信息
生产及用途
上下游产品
上游产品共计:0
下游产品共计:0
相关产品
产品供应商