您好!欢迎来到化工e站网 登录 注册
我的EWeb ▼
导航菜单 ▼
中文 ▼
医药中间体
无机化工
有机原料
原料药
染料及颜料
表面活性剂
香精与香料
化学试剂
食品添加剂
催化剂及助剂
分析化学
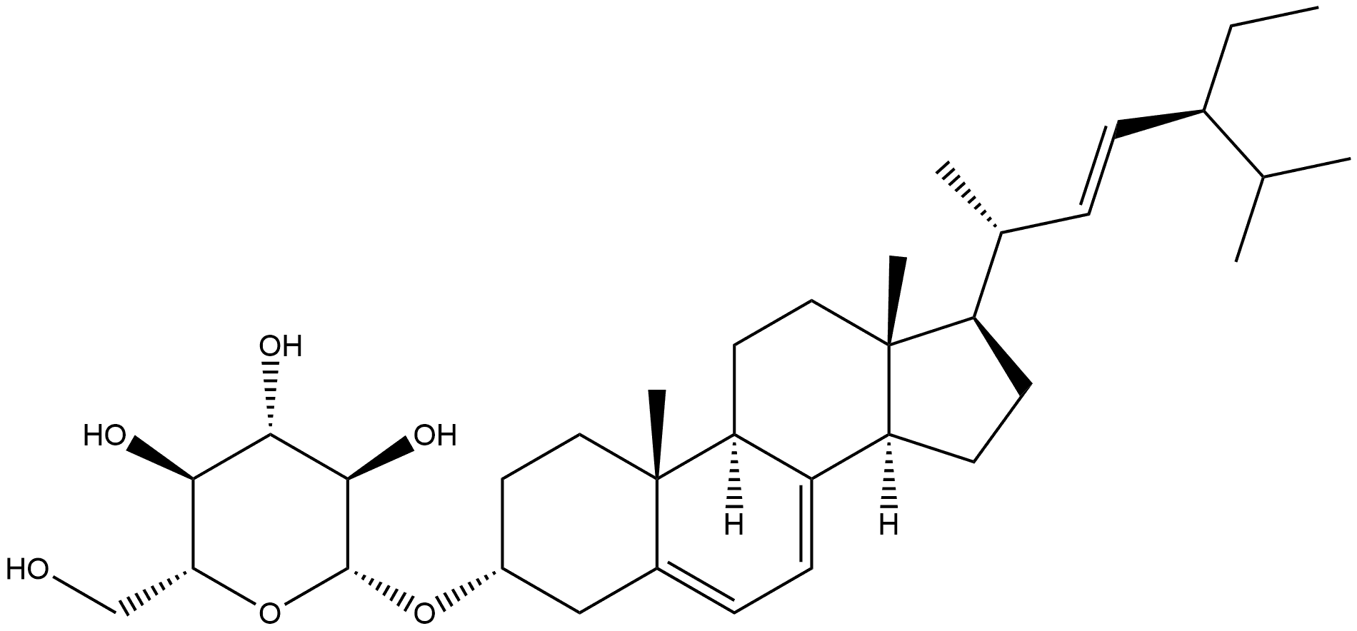
首页 化工产品目录 β-D-Glucopyranoside, (3β,22E)-stigmasta-5,7,22-trien-3-yl
109636-79-5
β-D-Glucopyranoside, (3β,22E)-stigmasta-5,7,22-trien-3-yl
产品纠错
CAS号:109636-79-5 | 英文名称:β-D-Glucopyranoside, (3β,22E)-stigmasta-5,7,22-trien-3-yl
分子式
分子量
EINECS号
MDL
Smiles
InChIKey
β-D-Glucopyranoside, (3β,22E)-stigmasta-5,7,22-trien-3-yl化学百科
基本信息
中文名称 β-D-Glucopyranoside, (3β,22E)-stigmasta-5,7,22-trien-3-yl
英文名称 β-D-Glucopyranoside, (3β,22E)-stigmasta-5,7,22-trien-3-yl
CAS号 109636-79-5
分子式 C35H56O6
分子量 572.82
物化性质
安全信息
生产及用途
上下游产品
上游产品共计:0
下游产品共计:0
相关产品
产品供应商