您好!欢迎来到化工e站网 登录 注册
我的EWeb ▼
导航菜单 ▼
中文 ▼
医药中间体
无机化工
有机原料
原料药
染料及颜料
表面活性剂
香精与香料
化学试剂
食品添加剂
催化剂及助剂
分析化学
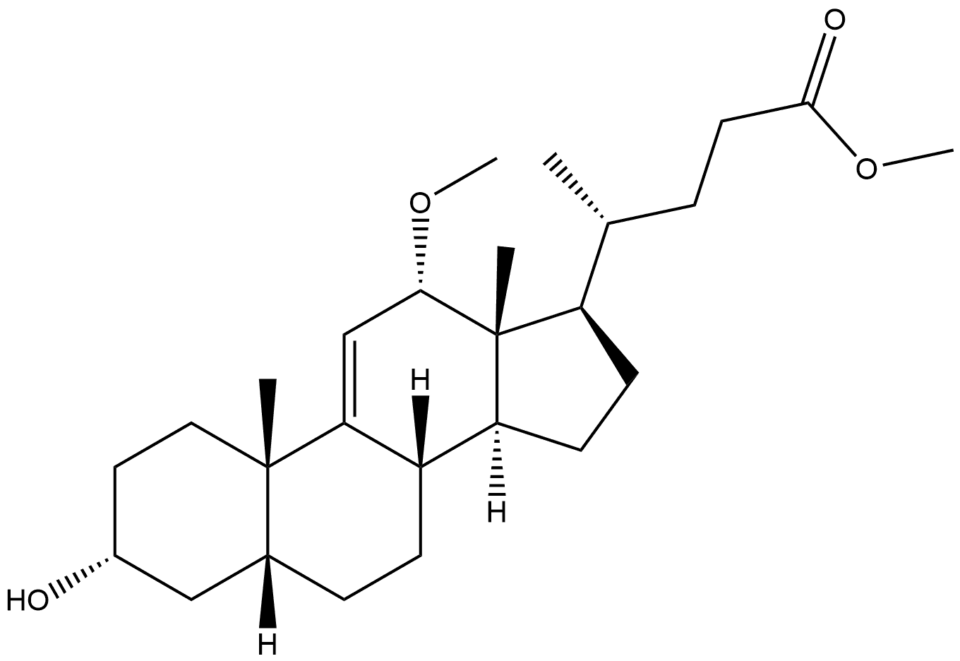
首页 化工产品目录 Chol-9(11)-en-24-oic acid, 3-hydroxy-12-methoxy-, methyl ester, (3α,5β,12α)-
1095319-03-1
Chol-9(11)-en-24-oic acid, 3-hydroxy-12-methoxy-, methyl ester, (3α,5β,12α)-
产品纠错
CAS号:1095319-03-1 | 英文名称:Chol-9(11)-en-24-oic acid, 3-hydroxy-12-methoxy-, methyl ester, (3α,5β,12α)-
分子式
分子量
EINECS号
MDL
Smiles
InChIKey
Chol-9(11)-en-24-oic acid, 3-hydroxy-12-methoxy-, methyl ester, (3α,5β,12α)-化学百科
基本信息
物化性质
安全信息
生产及用途
上下游产品
上游产品共计:0
下游产品共计:0
相关产品
产品供应商