您好!欢迎来到化工e站网 登录 注册
我的EWeb ▼
导航菜单 ▼
中文 ▼
医药中间体
无机化工
有机原料
原料药
染料及颜料
表面活性剂
香精与香料
化学试剂
食品添加剂
催化剂及助剂
分析化学
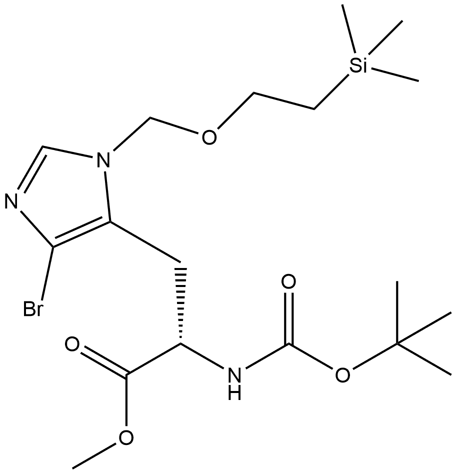
首页 化工产品目录 methyl (2S)-3-(4-bromo-1-{[2-(trimethylsilyl)ethoxy]methyl}-1H-imidazol-5-yl)-2-{[(tert-butoxy)carbonyl]amino}propanoate
1086462-79-4
methyl (2S)-3-(4-bromo-1-{[2-(trimethylsilyl)ethoxy]methyl}-1H-imidazol-5-yl)-2-{[(tert-butoxy)carbonyl]amino}propanoate
产品纠错
CAS号:1086462-79-4 | 英文名称:methyl (2S)-3-(4-bromo-1-{[2-(trimethylsilyl)ethoxy]methyl}-1H-imidazol-5-yl)-2-{[(tert-butoxy)carbonyl]amino}propanoate
分子式
分子量
EINECS号
MDL
Smiles
InChIKey
methyl (2S)-3-(4-bromo-1-{[2-(trimethylsilyl)ethoxy]methyl}-1H-imidazol-5-yl)-2-{[(tert-butoxy)carbonyl]amino}propanoate化学百科
基本信息
中文名称 methyl (2S)-3-(4-bromo-1-{[2-(trimethylsilyl)ethoxy]methyl}-1H-imidazol-5-yl)-2-{[(tert-butoxy)carbonyl]amino}propanoate
英文名称 methyl (2S)-3-(4-bromo-1-{[2-(trimethylsilyl)ethoxy]methyl}-1H-imidazol-5-yl)-2-{[(tert-butoxy)carbonyl]amino}propanoate
CAS号 1086462-79-4
分子式 C18H32BrN3O5Si
分子量 478.45
物化性质
安全信息
生产及用途
上下游产品
上游产品共计:0
下游产品共计:0
相关产品
产品供应商