您好!欢迎来到化工e站网 登录 注册
我的EWeb ▼
导航菜单 ▼
中文 ▼
医药中间体
无机化工
有机原料
原料药
染料及颜料
表面活性剂
香精与香料
化学试剂
食品添加剂
催化剂及助剂
分析化学
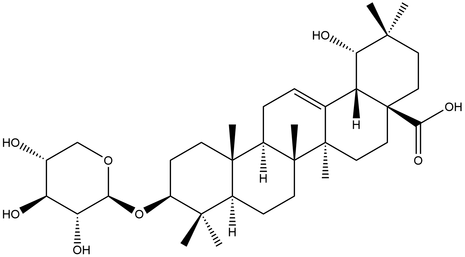
首页 化工产品目录 Olean-12-en-28-oic acid, 19-hydroxy-3-(β-D-xylopyranosyloxy)-, (3β,19α)-
108529-23-3
Olean-12-en-28-oic acid, 19-hydroxy-3-(β-D-xylopyranosyloxy)-, (3β,19α)-
产品纠错
CAS号:108529-23-3 | 英文名称:Olean-12-en-28-oic acid, 19-hydroxy-3-(β-D-xylopyranosyloxy)-, (3β,19α)-
分子式 C35H56O8
分子量 605
EINECS号
MDL
Smiles
InChIKey
Olean-12-en-28-oic acid, 19-hydroxy-3-(β-D-xylopyranosyloxy)-, (3β,19α)-化学百科
基本信息
中文名称 Olean-12-en-28-oic acid, 19-hydroxy-3-(β-D-xylopyranosyloxy)-, (3β,19α)-
英文名称 Olean-12-en-28-oic acid, 19-hydroxy-3-(β-D-xylopyranosyloxy)-, (3β,19α)-
CAS号 108529-23-3
分子式 C35H56O8
分子量 604.81
物化性质
安全信息
生产及用途
上下游产品
上游产品共计:0
下游产品共计:0
相关产品
产品供应商