您好!欢迎来到化工e站网 登录 注册
我的EWeb ▼
导航菜单 ▼
中文 ▼
医药中间体
无机化工
有机原料
原料药
染料及颜料
表面活性剂
香精与香料
化学试剂
食品添加剂
催化剂及助剂
分析化学
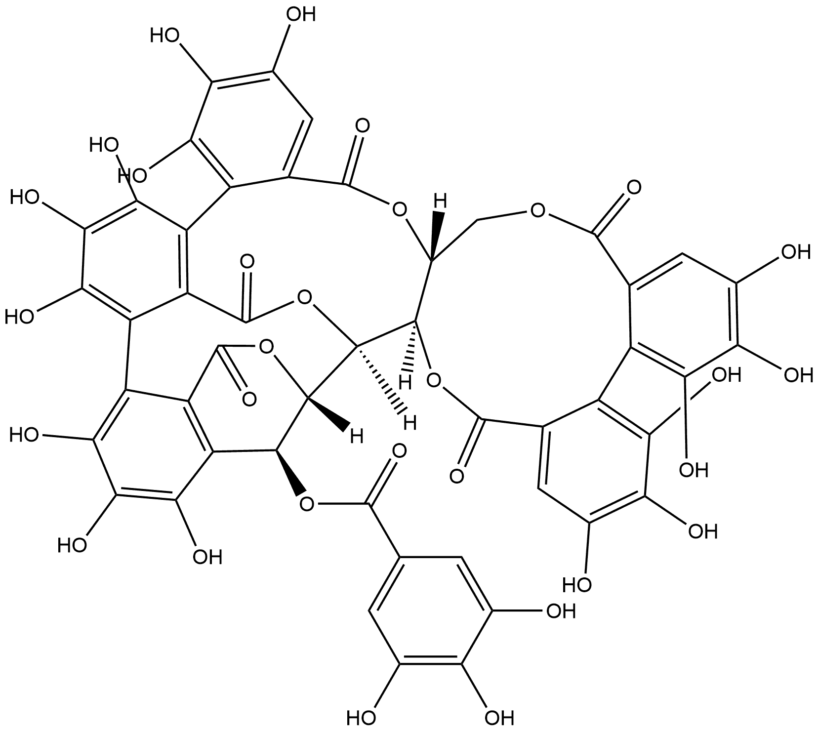
首页 化工产品目录 Vescalagin, 33-(3,4,5-trihydroxybenzoate), (33β)-
108449-60-1
Vescalagin, 33-(3,4,5-trihydroxybenzoate), (33β)-
产品纠错
CAS号:108449-60-1 | 英文名称:Vescalagin, 33-(3,4,5-trihydroxybenzoate), (33β)-
分子式 C48H30O30
分子量 1087
EINECS号
MDL
Smiles
InChIKey
Vescalagin, 33-(3,4,5-trihydroxybenzoate), (33β)-化学百科
基本信息
中文名称 Vescalagin, 33-(3,4,5-trihydroxybenzoate), (33β)-
英文名称 Vescalagin, 33-(3,4,5-trihydroxybenzoate), (33β)-
CAS号 108449-60-1
分子式 C48H30O30
分子量 1086.73
物化性质
安全信息
生产及用途
上下游产品
上游产品共计:0
下游产品共计:0
相关产品
产品供应商