您好!欢迎来到化工e站网 登录 注册
我的EWeb ▼
导航菜单 ▼
中文 ▼
医药中间体
无机化工
有机原料
原料药
染料及颜料
表面活性剂
香精与香料
化学试剂
食品添加剂
催化剂及助剂
分析化学
首页 化工产品目录 远志皂苷Y
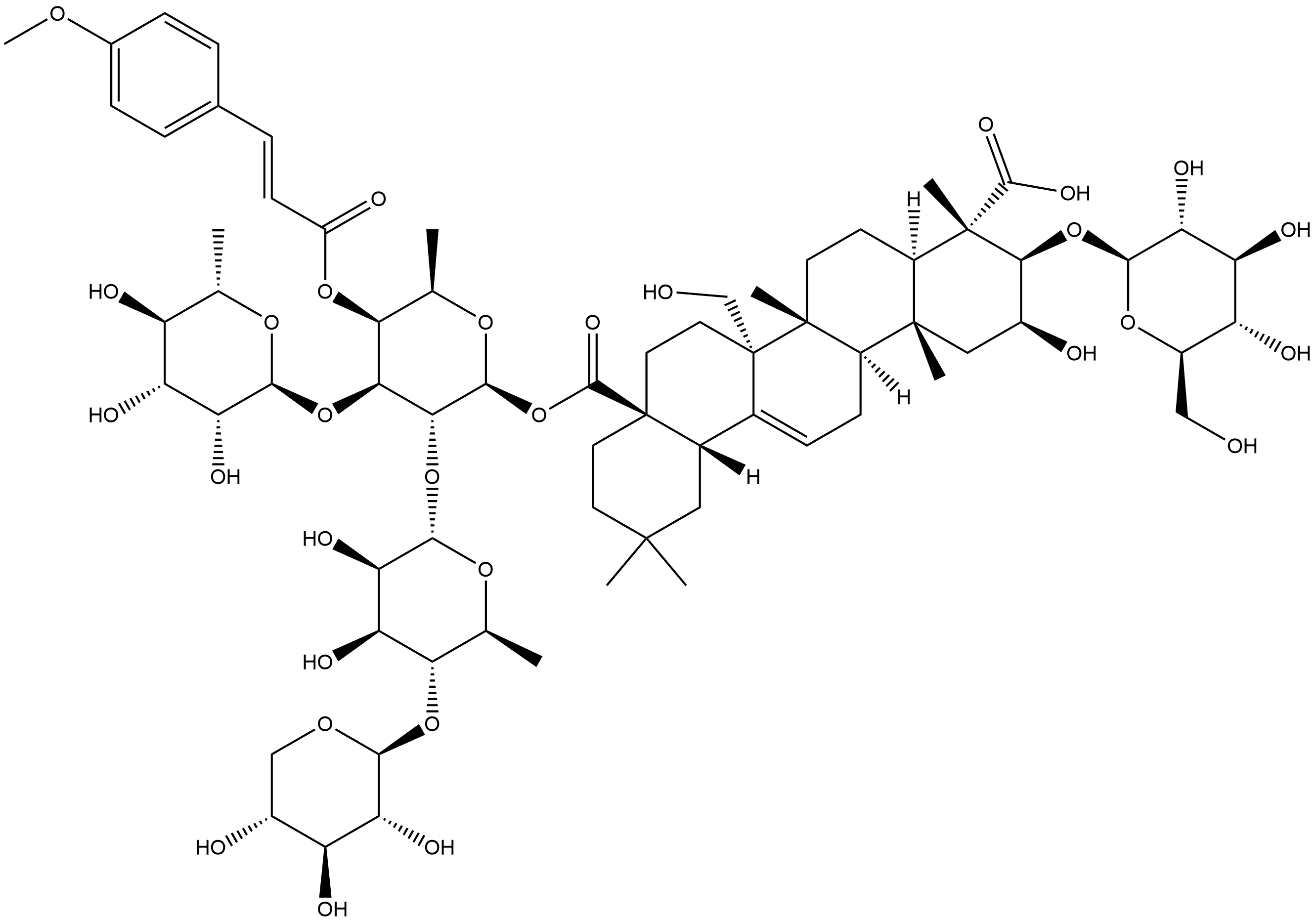
1078708-71-0
远志皂苷Y
产品纠错
CAS号:1078708-71-0 | 英文名称:Olean-12-ene-23,28-dioic acid, 3-(β-D-glucopyranosyloxy)-2,27-dihydroxy-, 28-[O-β-D-xylopyranosyl-(1→4)-O-6-deoxy-α-L-mannopyranosyl-(1→2)-O-[6-deoxy-α-L-mannopyranosyl-(1→3)]-6-deoxy-4-O-[(2E)-3-(4-methoxyphenyl)-1-oxo-2-propen-1-yl]-β-D-galactopyranosyl] ester, (2β,3β,4α)-
分子式
分子量
EINECS号
MDL
Smiles
InChIKey
远志皂苷Y化学百科
基本信息
物化性质
安全信息
生产及用途
上下游产品
上游产品共计:0
下游产品共计:0
相关产品
产品供应商