您好!欢迎来到化工e站网 登录 注册
我的EWeb ▼
导航菜单 ▼
中文 ▼
医药中间体
无机化工
有机原料
原料药
染料及颜料
表面活性剂
香精与香料
化学试剂
食品添加剂
催化剂及助剂
分析化学
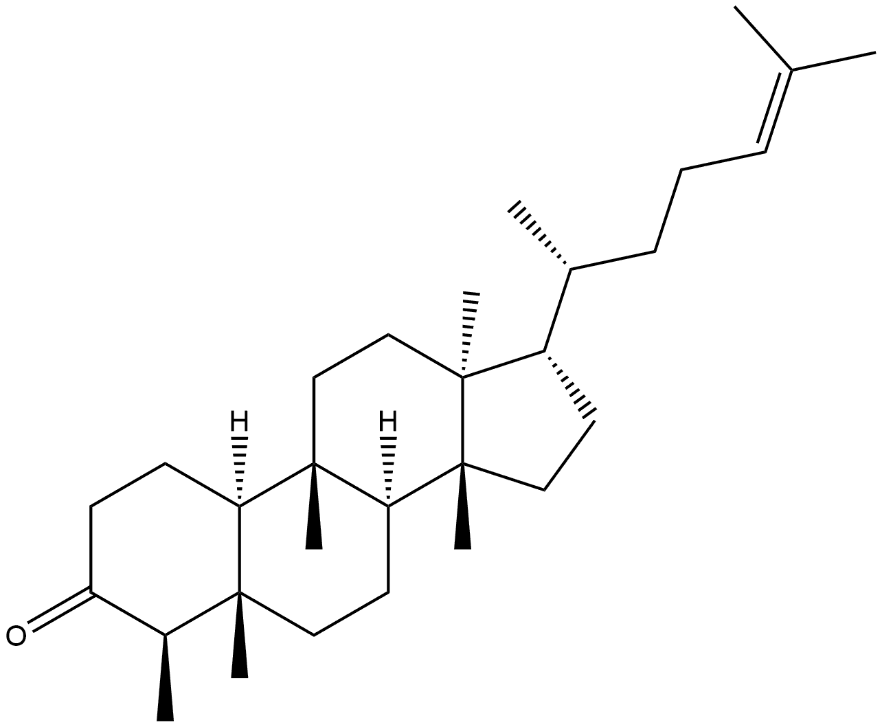
首页 化工产品目录 19-Norcholest-24-en-3-one, 4,5,9,14-tetramethyl-, (4β,5β,8α,9β,10α,13α,14β,17α)-
107661-63-2
19-Norcholest-24-en-3-one, 4,5,9,14-tetramethyl-, (4β,5β,8α,9β,10α,13α,14β,17α)-
产品纠错
CAS号:107661-63-2 | 英文名称:19-Norcholest-24-en-3-one, 4,5,9,14-tetramethyl-, (4β,5β,8α,9β,10α,13α,14β,17α)-
分子式
分子量
EINECS号
MDL
Smiles
InChIKey
19-Norcholest-24-en-3-one, 4,5,9,14-tetramethyl-, (4β,5β,8α,9β,10α,13α,14β,17α)-化学百科
基本信息
中文名称 19-Norcholest-24-en-3-one, 4,5,9,14-tetramethyl-, (4β,5β,8α,9β,10α,13α,14β,17α)-
英文名称 19-Norcholest-24-en-3-one, 4,5,9,14-tetramethyl-, (4β,5β,8α,9β,10α,13α,14β,17α)-
CAS号 107661-63-2
分子式 C30H50O
分子量 426.72
物化性质
安全信息
生产及用途
上下游产品
上游产品共计:0
下游产品共计:0
相关产品
产品供应商