您好!欢迎来到化工e站网 登录 注册
我的EWeb ▼
导航菜单 ▼
中文 ▼
医药中间体
无机化工
有机原料
原料药
染料及颜料
表面活性剂
香精与香料
化学试剂
食品添加剂
催化剂及助剂
分析化学
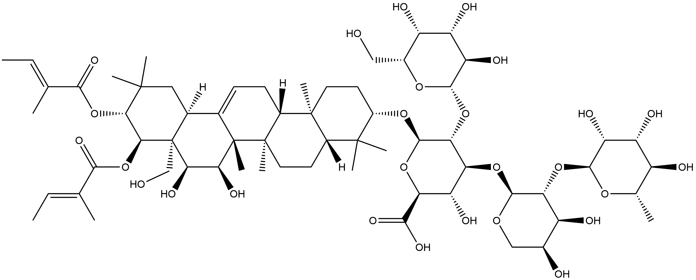
首页 化工产品目录 β-D-Glucopyranosiduronic acid, (3β,15α,16α,21β,22α)-15,16,28-trihydroxy-21,22-bis[[(2E)-2-methyl-1-oxo-2-buten-1-yl]oxy]olean-12-en-3-yl O-6-deoxy-α-L-mannopyranosyl-(1→2)-O-α-L-arabinopyranosyl-(1→3)-O-[β-D-galactopyranosyl-(1→2)]-
1075184-13-2
β-D-Glucopyranosiduronic acid, (3β,15α,16α,21β,22α)-15,16,28-trihydroxy-21,22-bis[[(2E)-2-methyl-1-oxo-2-buten-1-yl]oxy]olean-12-en-3-yl O-6-deoxy-α-L-mannopyranosyl-(1→2)-O-α-L-arabinopyranosyl-(1→3)-O-[β-D-galactopyranosyl-(1→2)]-
产品纠错
CAS号:1075184-13-2 | 英文名称:β-D-Glucopyranosiduronic acid, (3β,15α,16α,21β,22α)-15,16,28-trihydroxy-21,22-bis[[(2E)-2-methyl-1-oxo-2-buten-1-yl]oxy]olean-12-en-3-yl O-6-deoxy-α-L-mannopyranosyl-(1→2)-O-α-L-arabinopyranosyl-(1→3)-O-[β-D-galactopyranosyl-(1→2)]-
分子式
分子量
EINECS号
MDL
Smiles
InChIKey
β-D-Glucopyranosiduronic acid, (3β,15α,16α,21β,22α)-15,16,28-trihydroxy-21,22-bis[[(2E)-2-methyl-1-oxo-2-buten-1-yl]oxy]olean-12-en-3-yl O-6-deoxy-α-L-mannopyranosyl-(1→2)-O-α-L-arabinopyranosyl-(1→3)-O-[β-D-galactopyranosyl-(1→2)]-化学百科
基本信息
中文名称 β-D-Glucopyranosiduronic acid, (3β,15α,16α,21β,22α)-15,16,28-trihydroxy-21,22-bis[[(2E)-2-methyl-1-oxo-2-buten-1-yl]oxy]olean-12-en-3-yl O-6-deoxy-α-L-mannopyranosyl-(1→2)-O-α-L-arabinopyranosyl-(1→3)-O-[β-D-galactopyranosyl-(1→2)]-
英文名称 β-D-Glucopyranosiduronic acid, (3β,15α,16α,21β,22α)-15,16,28-trihydroxy-21,22-bis[[(2E)-2-methyl-1-oxo-2-buten-1-yl]oxy]olean-12-en-3-yl O-6-deoxy-α-L-mannopyranosyl-(1→2)-O-α-L-arabinopyranosyl-(1→3)-O-[β-D-galactopyranosyl-(1→2)]-
CAS号 1075184-13-2
分子式 C63H98O27
分子量 1287.44
物化性质
安全信息
生产及用途
上下游产品
上游产品共计:0
下游产品共计:0
相关产品
产品供应商