您好!欢迎来到化工e站网 登录 注册
我的EWeb ▼
导航菜单 ▼
中文 ▼
医药中间体
无机化工
有机原料
原料药
染料及颜料
表面活性剂
香精与香料
化学试剂
食品添加剂
催化剂及助剂
分析化学
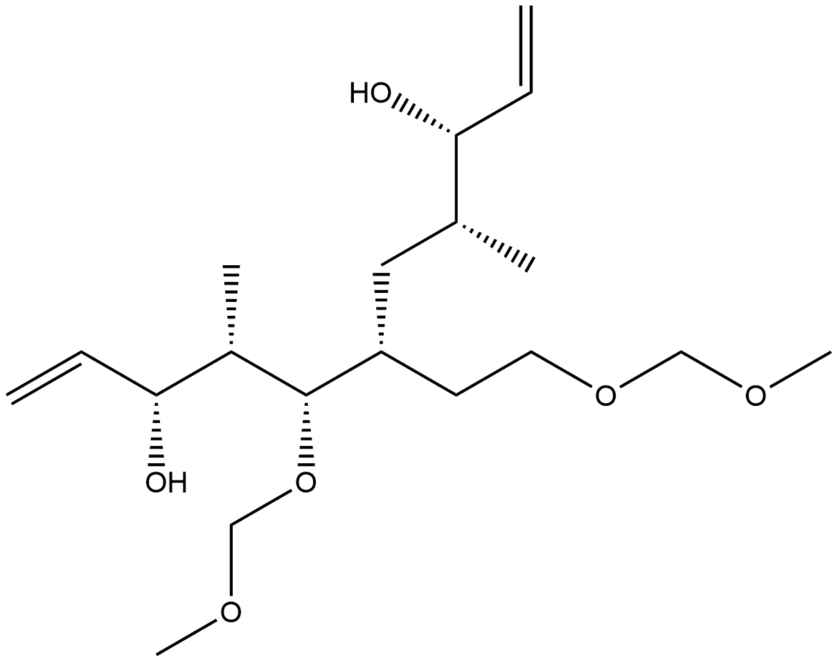
首页 化工产品目录 rel-(3R,4S,5S,6R,8R,9R)-5-(Methoxymethoxy)-6-[2-(methoxymethoxy)ethyl]-4,8-dimethyl-1,10-undecadiene-3,9-diol
107437-93-4
rel-(3R,4S,5S,6R,8R,9R)-5-(Methoxymethoxy)-6-[2-(methoxymethoxy)ethyl]-4,8-dimethyl-1,10-undecadiene-3,9-diol
产品纠错
CAS号:107437-93-4 | 英文名称:rel-(3R,4S,5S,6R,8R,9R)-5-(Methoxymethoxy)-6-[2-(methoxymethoxy)ethyl]-4,8-dimethyl-1,10-undecadiene-3,9-diol
分子式
分子量
EINECS号
MDL
Smiles
InChIKey
rel-(3R,4S,5S,6R,8R,9R)-5-(Methoxymethoxy)-6-[2-(methoxymethoxy)ethyl]-4,8-dimethyl-1,10-undecadiene-3,9-diol化学百科
基本信息
中文名称 rel-(3R,4S,5S,6R,8R,9R)-5-(Methoxymethoxy)-6-[2-(methoxymethoxy)ethyl]-4,8-dimethyl-1,10-undecadiene-3,9-diol
英文名称 rel-(3R,4S,5S,6R,8R,9R)-5-(Methoxymethoxy)-6-[2-(methoxymethoxy)ethyl]-4,8-dimethyl-1,10-undecadiene-3,9-diol
CAS号 107437-93-4
分子式 C19H36O6
分子量 360.49
物化性质
安全信息
生产及用途
上下游产品
上游产品共计:0
下游产品共计:0
相关产品
产品供应商