您好!欢迎来到化工e站网 登录 注册
我的EWeb ▼
导航菜单 ▼
中文 ▼
医药中间体
无机化工
有机原料
原料药
染料及颜料
表面活性剂
香精与香料
化学试剂
食品添加剂
催化剂及助剂
分析化学
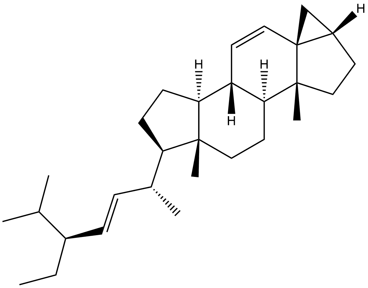
首页 化工产品目录 3,5-Cyclostigmasta-6,22-diene, (3β,5S,22E)-
107304-12-1
3,5-Cyclostigmasta-6,22-diene, (3β,5S,22E)-
产品纠错
CAS号:107304-12-1 | 英文名称:3,5-Cyclostigmasta-6,22-diene, (3β,5S,22E)-
分子式 C29H46
分子量 395
EINECS号
MDL
Smiles
InChIKey
3,5-Cyclostigmasta-6,22-diene, (3β,5S,22E)-化学百科
基本信息
中文名称 3,5-Cyclostigmasta-6,22-diene, (3β,5S,22E)-
英文名称 3,5-Cyclostigmasta-6,22-diene, (3β,5S,22E)-
CAS号 107304-12-1
分子式 C29H46
分子量 394.68
物化性质
安全信息
生产及用途
上下游产品
上游产品共计:0
下游产品共计:0
相关产品
产品供应商