您好!欢迎来到化工e站网 登录 注册
我的EWeb ▼
导航菜单 ▼
中文 ▼
医药中间体
无机化工
有机原料
原料药
染料及颜料
表面活性剂
香精与香料
化学试剂
食品添加剂
催化剂及助剂
分析化学
首页 化工产品目录 2,4(1H,3H)-Pyrimidinedione, 1-[3,5-O-[1,1,3,3-tetrakis(1-methylethyl)-1,3-disiloxanediyl]-β-D-xylofuranosyl]- (9CI)
107271-91-0
2,4(1H,3H)-Pyrimidinedione, 1-[3,5-O-[1,1,3,3-tetrakis(1-methylethyl)-1,3-disiloxanediyl]-β-D-xylofuranosyl]- (9CI)
产品纠错
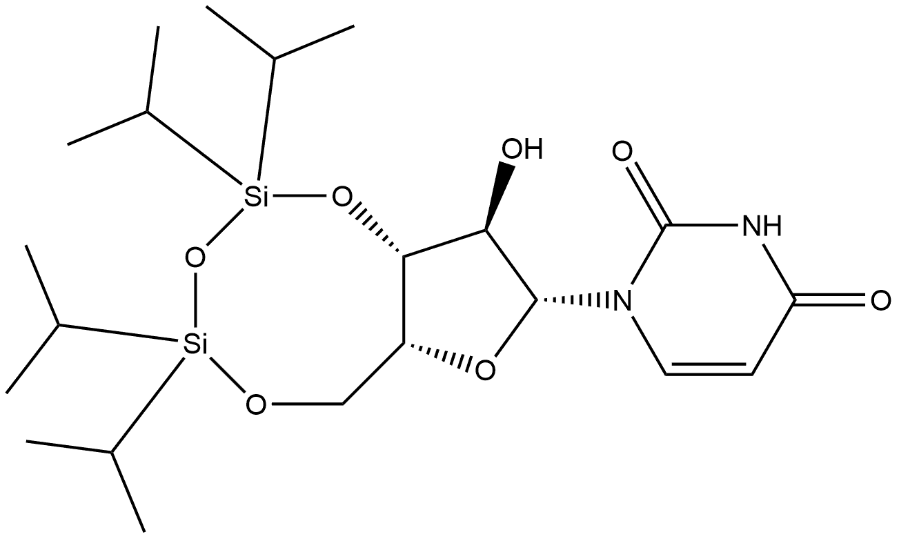
CAS号:107271-91-0 | 英文名称:2,4(1H,3H)-Pyrimidinedione, 1-[3,5-O-[1,1,3,3-tetrakis(1-methylethyl)-1,3-disiloxanediyl]-β-D-xylofuranosyl]- (9CI)
分子式
分子量
EINECS号
MDL
Smiles
InChIKey
2,4(1H,3H)-Pyrimidinedione, 1-[3,5-O-[1,1,3,3-tetrakis(1-methylethyl)-1,3-disiloxanediyl]-β-D-xylofuranosyl]- (9CI)化学百科
基本信息
中文名称 2,4(1H,3H)-Pyrimidinedione, 1-[3,5-O-[1,1,3,3-tetrakis(1-methylethyl)-1,3-disiloxanediyl]-β-D-xylofuranosyl]- (9CI)
英文名称 2,4(1H,3H)-Pyrimidinedione, 1-[3,5-O-[1,1,3,3-tetrakis(1-methylethyl)-1,3-disiloxanediyl]-β-D-xylofuranosyl]- (9CI)
CAS号 107271-91-0
分子式 C21H38N2O7Si2
分子量 486.71
物化性质
安全信息
生产及用途
上下游产品
上游产品共计:0
下游产品共计:0
相关产品
产品供应商