您好!欢迎来到化工e站网 登录 注册
我的EWeb ▼
导航菜单 ▼
中文 ▼
医药中间体
无机化工
有机原料
原料药
染料及颜料
表面活性剂
香精与香料
化学试剂
食品添加剂
催化剂及助剂
分析化学
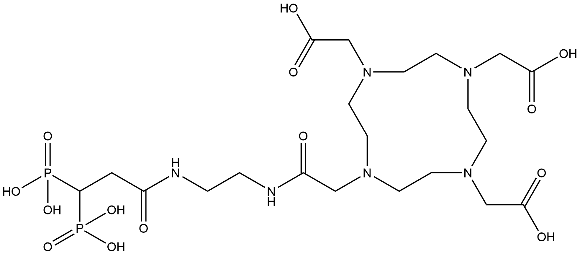
首页 化工产品目录 10-[2-氧代 -2-[2-[(1-氧代 -3,3-二膦代丙基)氨基]乙基]氨基]乙基] -1,4,7,10-四氮杂环十二烷 -1,4,7-三乙酸
1071906-15-4
10-[2-氧代 -2-[2-[(1-氧代 -3,3-二膦代丙基)氨基]乙基]氨基]乙基] -1,4,7,10-四氮杂环十二烷 -1,4,7-三乙酸
产品纠错
CAS号:1071906-15-4 | 英文名称:10-[2-Oxo-2-[[2-[(1-oxo-3,3-diphosphonopropyl)amino]ethyl]amino]ethyl]-1,4,7,10-tetraazacyclododecane-1,4,7-triacetic acid
分子式
分子量
EINECS号
MDL
Smiles
InChIKey
10-[2-氧代 -2-[2-[(1-氧代 -3,3-二膦代丙基)氨基]乙基]氨基]乙基] -1,4,7,10-四氮杂环十二烷 -1,4,7-三乙酸化学百科
基本信息
物化性质
安全信息
生产及用途
上下游产品
上游产品共计:0
下游产品共计:0
相关产品
产品供应商