您好!欢迎来到化工e站网 登录 注册
我的EWeb ▼
导航菜单 ▼
中文 ▼
医药中间体
无机化工
有机原料
原料药
染料及颜料
表面活性剂
香精与香料
化学试剂
食品添加剂
催化剂及助剂
分析化学
首页 化工产品目录 rel-1,1-Dimethylethyl (2R,3R)-3-hydroxy-2-methyl-6-phenyl-5-hexynoate
1071217-73-6
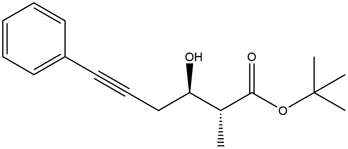
rel-1,1-Dimethylethyl (2R,3R)-3-hydroxy-2-methyl-6-phenyl-5-hexynoate
产品纠错
CAS号:1071217-73-6 | 英文名称:rel-1,1-Dimethylethyl (2R,3R)-3-hydroxy-2-methyl-6-phenyl-5-hexynoate
分子式
分子量
EINECS号
MDL
Smiles
InChIKey
rel-1,1-Dimethylethyl (2R,3R)-3-hydroxy-2-methyl-6-phenyl-5-hexynoate化学百科
基本信息
中文名称 rel-1,1-Dimethylethyl (2R,3R)-3-hydroxy-2-methyl-6-phenyl-5-hexynoate
英文名称 rel-1,1-Dimethylethyl (2R,3R)-3-hydroxy-2-methyl-6-phenyl-5-hexynoate
CAS号 1071217-73-6
分子式 C17H22O3
分子量 274.36
物化性质
安全信息
生产及用途
上下游产品
上游产品共计:0
下游产品共计:0
相关产品
产品供应商