您好!欢迎来到化工e站网 登录 注册
我的EWeb ▼
导航菜单 ▼
中文 ▼
医药中间体
无机化工
有机原料
原料药
染料及颜料
表面活性剂
香精与香料
化学试剂
食品添加剂
催化剂及助剂
分析化学
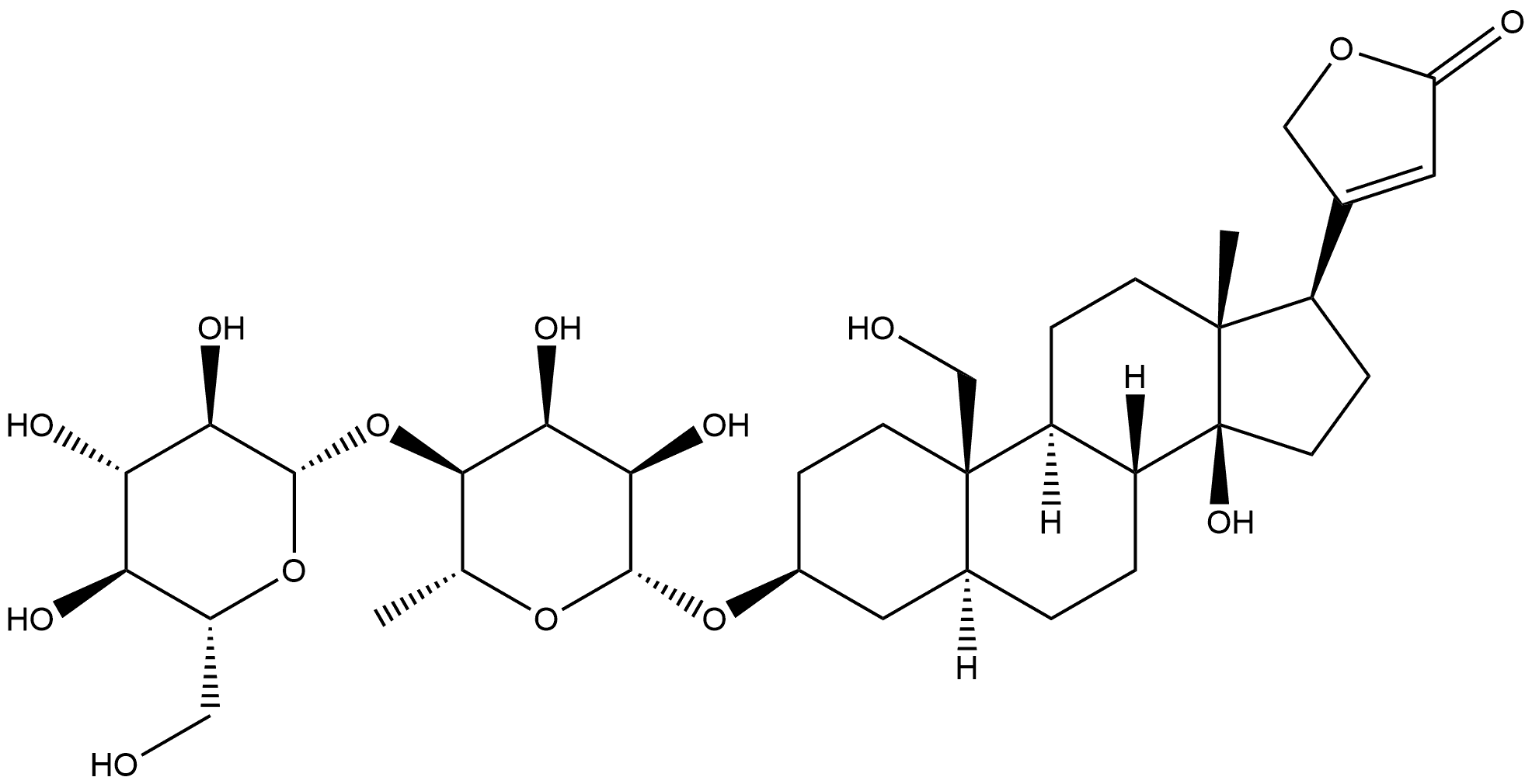
首页 化工产品目录 Card-20(22)-enolide, 3-[(6-deoxy-4-O-β-D-glucopyranosyl-β-D-allopyranosyl)oxy]-14,19-dihydroxy-, (3β,5α)-
107110-15-6
Card-20(22)-enolide, 3-[(6-deoxy-4-O-β-D-glucopyranosyl-β-D-allopyranosyl)oxy]-14,19-dihydroxy-, (3β,5α)-
产品纠错
CAS号:107110-15-6 | 英文名称:Card-20(22)-enolide, 3-[(6-deoxy-4-O-β-D-glucopyranosyl-β-D-allopyranosyl)oxy]-14,19-dihydroxy-, (3β,5α)-
分子式
分子量
EINECS号
MDL
Smiles
InChIKey
Card-20(22)-enolide, 3-[(6-deoxy-4-O-β-D-glucopyranosyl-β-D-allopyranosyl)oxy]-14,19-dihydroxy-, (3β,5α)-化学百科
基本信息
物化性质
安全信息
生产及用途
上下游产品
上游产品共计:0
下游产品共计:0
相关产品
产品供应商