您好!欢迎来到化工e站网 登录 注册
我的EWeb ▼
导航菜单 ▼
中文 ▼
医药中间体
无机化工
有机原料
原料药
染料及颜料
表面活性剂
香精与香料
化学试剂
食品添加剂
催化剂及助剂
分析化学
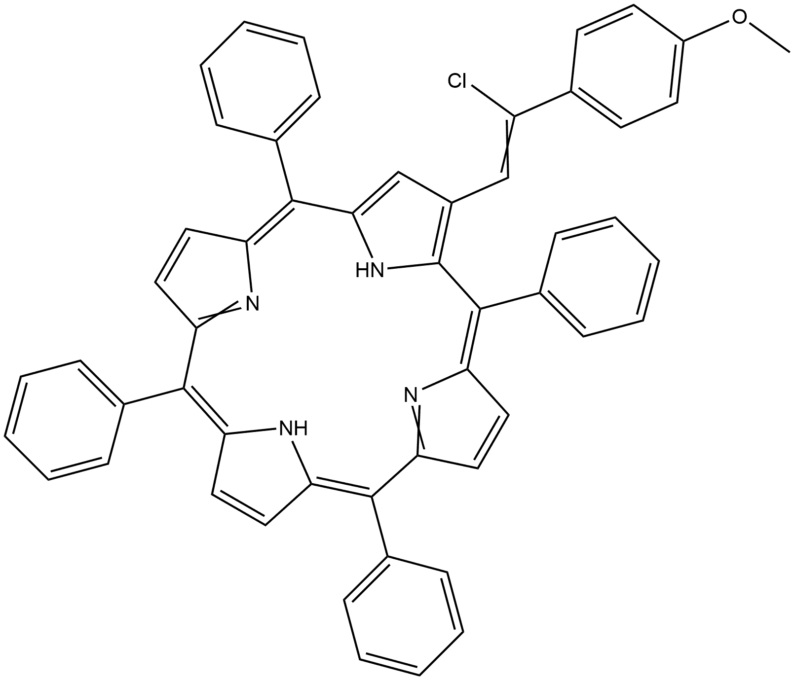
首页 化工产品目录 2-[2-Chloro-2-(4-methoxyphenyl)ethenyl]-5,10,15,20-tetraphenyl-21H,23H-porphine
1070910-62-1
2-[2-Chloro-2-(4-methoxyphenyl)ethenyl]-5,10,15,20-tetraphenyl-21H,23H-porphine
产品纠错
CAS号:1070910-62-1 | 英文名称:2-[2-Chloro-2-(4-methoxyphenyl)ethenyl]-5,10,15,20-tetraphenyl-21H,23H-porphine
分子式
分子量
EINECS号
MDL
Smiles
InChIKey
2-[2-Chloro-2-(4-methoxyphenyl)ethenyl]-5,10,15,20-tetraphenyl-21H,23H-porphine化学百科
基本信息
中文名称 2-[2-Chloro-2-(4-methoxyphenyl)ethenyl]-5,10,15,20-tetraphenyl-21H,23H-porphine
英文名称 2-[2-Chloro-2-(4-methoxyphenyl)ethenyl]-5,10,15,20-tetraphenyl-21H,23H-porphine
CAS号 1070910-62-1
分子式 C53H37ClN4O
分子量 781.34
物化性质
安全信息
生产及用途
上下游产品
上游产品共计:0
下游产品共计:0
相关产品
产品供应商