您好!欢迎来到化工e站网 登录 注册
我的EWeb ▼
导航菜单 ▼
中文 ▼
医药中间体
无机化工
有机原料
原料药
染料及颜料
表面活性剂
香精与香料
化学试剂
食品添加剂
催化剂及助剂
分析化学
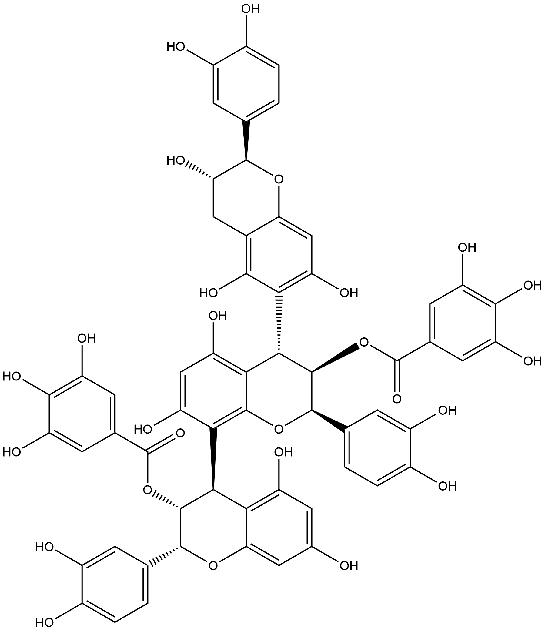
首页 化工产品目录 Benzoic acid, 3,4,5-trihydroxy-, 2,2',2''-tris(3,4-dihydroxyphenyl)-3,3',3'',4,4',4''-hexahydro-3'',5,5',5'',7,7',7''-heptahydroxy[4,8':4',6''-ter-2H-1-benzopyran]-3,3'-diyl ester, [2R-[2α,3α,4β[2'R*,3'R*,4'S*(2''R*,3''S*)]]]- (9CI)
106533-65-7
Benzoic acid, 3,4,5-trihydroxy-, 2,2',2''-tris(3,4-dihydroxyphenyl)-3,3',3'',4,4',4''-hexahydro-3'',5,5',5'',7,7',7''-heptahydroxy[4,8':4',6''-ter-2H-1-benzopyran]-3,3'-diyl ester, [2R-[2α,3α,4β[2'R*,3'R*,4'S*(2''R*,3''S*)]]]- (9CI)
产品纠错
CAS号:106533-65-7 | 英文名称:Benzoic acid, 3,4,5-trihydroxy-, 2,2',2''-tris(3,4-dihydroxyphenyl)-3,3',3'',4,4',4''-hexahydro-3'',5,5',5'',7,7',7''-heptahydroxy[4,8':4',6''-ter-2H-1-benzopyran]-3,3'-diyl ester, [2R-[2α,3α,4β[2'R*,3'R*,4'S*(2''R*,3''S*)]]]- (9CI)
分子式 C59H46O26
分子量 1171
EINECS号
MDL
Smiles
InChIKey
Benzoic acid, 3,4,5-trihydroxy-, 2,2',2''-tris(3,4-dihydroxyphenyl)-3,3',3'',4,4',4''-hexahydro-3'',5,5',5'',7,7',7''-heptahydroxy[4,8':4',6''-ter-2H-1-benzopyran]-3,3'-diyl ester, [2R-[2α,3α,4β[2'R*,3'R*,4'S*(2''R*,3''S*)]]]- (9CI)化学百科
基本信息
中文名称 Benzoic acid, 3,4,5-trihydroxy-, 2,2',2''-tris(3,4-dihydroxyphenyl)-3,3',3'',4,4',4''-hexahydro-3'',5,5',5'',7,7',7''-heptahydroxy[4,8':4',6''-ter-2H-1-benzopyran]-3,3'-diyl ester, [2R-[2α,3α,4β[2'R*,3'R*,4'S*(2''R*,3''S*)]]]- (9CI)
英文名称 Benzoic acid, 3,4,5-trihydroxy-, 2,2',2''-tris(3,4-dihydroxyphenyl)-3,3',3'',4,4',4''-hexahydro-3'',5,5',5'',7,7',7''-heptahydroxy[4,8':4',6''-ter-2H-1-benzopyran]-3,3'-diyl ester, [2R-[2α,3α,4β[2'R*,3'R*,4'S*(2''R*,3''S*)]]]- (9CI)
CAS号 106533-65-7
分子式 C59H46O26
分子量 1170.98
物化性质
安全信息
生产及用途
上下游产品
上游产品共计:0
下游产品共计:0
相关产品
产品供应商