您好!欢迎来到化工e站网 登录 注册
我的EWeb ▼
导航菜单 ▼
中文 ▼
医药中间体
无机化工
有机原料
原料药
染料及颜料
表面活性剂
香精与香料
化学试剂
食品添加剂
催化剂及助剂
分析化学
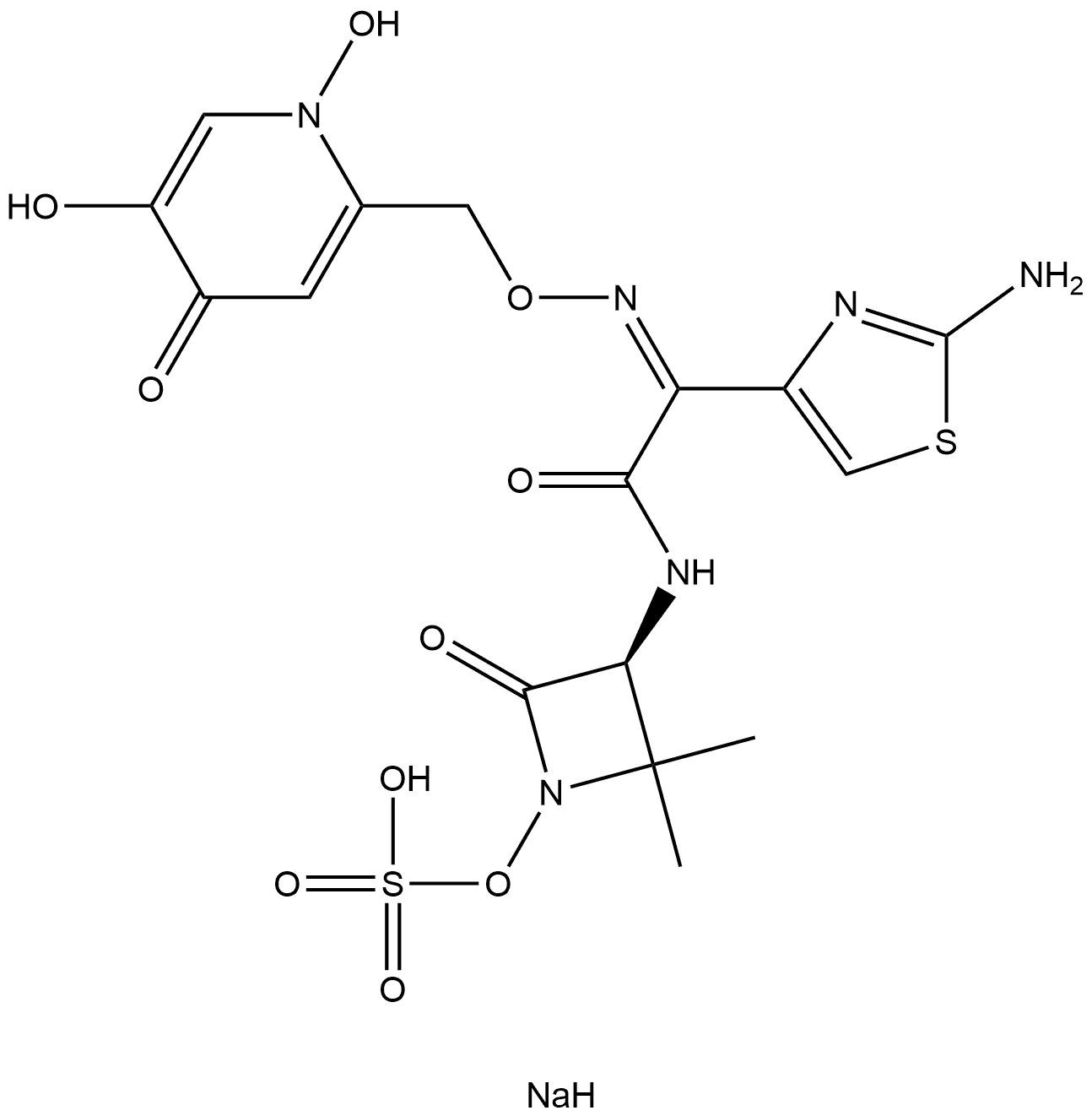
首页 化工产品目录 4-Thiazoleacetamide, α-[[[1,5-bis(diphenylmethoxy)-1,4-dihydro-4-oxo-2-pyridinyl]methoxy]imino]-N-[(3S)-2,2-dimethyl-4-oxo-1-(sulfooxy)-3-azetidinyl]-2-[(triphenylmethyl)amino]-, sodium salt (1:1), (αZ)-
1064505-59-4
4-Thiazoleacetamide, α-[[[1,5-bis(diphenylmethoxy)-1,4-dihydro-4-oxo-2-pyridinyl]methoxy]imino]-N-[(3S)-2,2-dimethyl-4-oxo-1-(sulfooxy)-3-azetidinyl]-2-[(triphenylmethyl)amino]-, sodium salt (1:1), (αZ)-
产品纠错
CAS号:1064505-59-4 | 英文名称:4-Thiazoleacetamide, α-[[[1,5-bis(diphenylmethoxy)-1,4-dihydro-4-oxo-2-pyridinyl]methoxy]imino]-N-[(3S)-2,2-dimethyl-4-oxo-1-(sulfooxy)-3-azetidinyl]-2-[(triphenylmethyl)amino]-, sodium salt (1:1), (αZ)-
分子式
分子量
EINECS号
MDL
Smiles
InChIKey
4-Thiazoleacetamide, α-[[[1,5-bis(diphenylmethoxy)-1,4-dihydro-4-oxo-2-pyridinyl]methoxy]imino]-N-[(3S)-2,2-dimethyl-4-oxo-1-(sulfooxy)-3-azetidinyl]-2-[(triphenylmethyl)amino]-, sodium salt (1:1), (αZ)-化学百科
基本信息
物化性质
安全信息
生产及用途
上下游产品
上游产品共计:0
下游产品共计:0
相关产品
产品供应商