您好!欢迎来到化工e站网 登录 注册
我的EWeb ▼
导航菜单 ▼
中文 ▼
医药中间体
无机化工
有机原料
原料药
染料及颜料
表面活性剂
香精与香料
化学试剂
食品添加剂
催化剂及助剂
分析化学
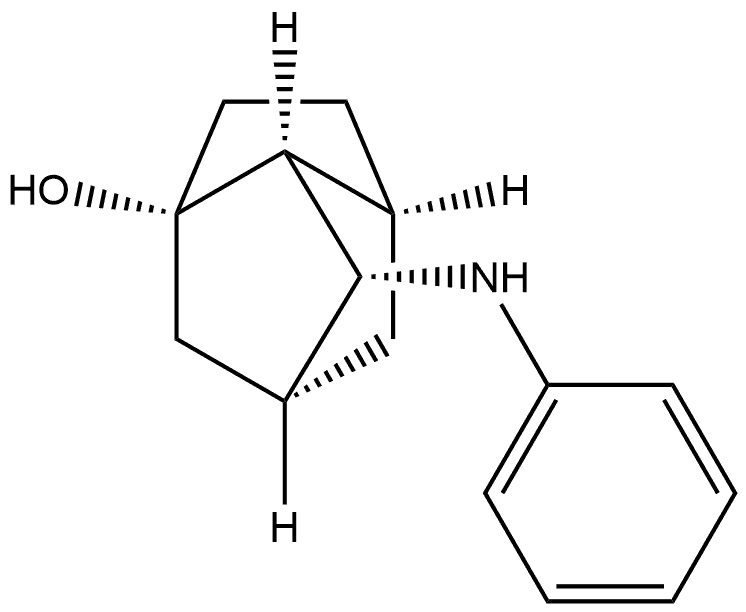
首页 化工产品目录 1,5-Methanopentalen-1(2H)-ol, hexahydro-6-(phenylamino)-, (1α,3aα,5β,6α,6aα)- (9CI)
106435-13-6
1,5-Methanopentalen-1(2H)-ol, hexahydro-6-(phenylamino)-, (1α,3aα,5β,6α,6aα)- (9CI)
产品纠错
CAS号:106435-13-6 | 英文名称:1,5-Methanopentalen-1(2H)-ol, hexahydro-6-(phenylamino)-, (1α,3aα,5β,6α,6aα)- (9CI)
分子式 C15H19NO
分子量 229
EINECS号
MDL
Smiles
InChIKey
1,5-Methanopentalen-1(2H)-ol, hexahydro-6-(phenylamino)-, (1α,3aα,5β,6α,6aα)- (9CI)化学百科
基本信息
中文名称 1,5-Methanopentalen-1(2H)-ol, hexahydro-6-(phenylamino)-, (1α,3aα,5β,6α,6aα)- (9CI)
英文名称 1,5-Methanopentalen-1(2H)-ol, hexahydro-6-(phenylamino)-, (1α,3aα,5β,6α,6aα)- (9CI)
CAS号 106435-13-6
分子式 C15H19NO
分子量 229.32
物化性质
安全信息
生产及用途
上下游产品
上游产品共计:0
下游产品共计:0
相关产品
产品供应商