您好!欢迎来到化工e站网 登录 注册
我的EWeb ▼
导航菜单 ▼
中文 ▼
医药中间体
无机化工
有机原料
原料药
染料及颜料
表面活性剂
香精与香料
化学试剂
食品添加剂
催化剂及助剂
分析化学
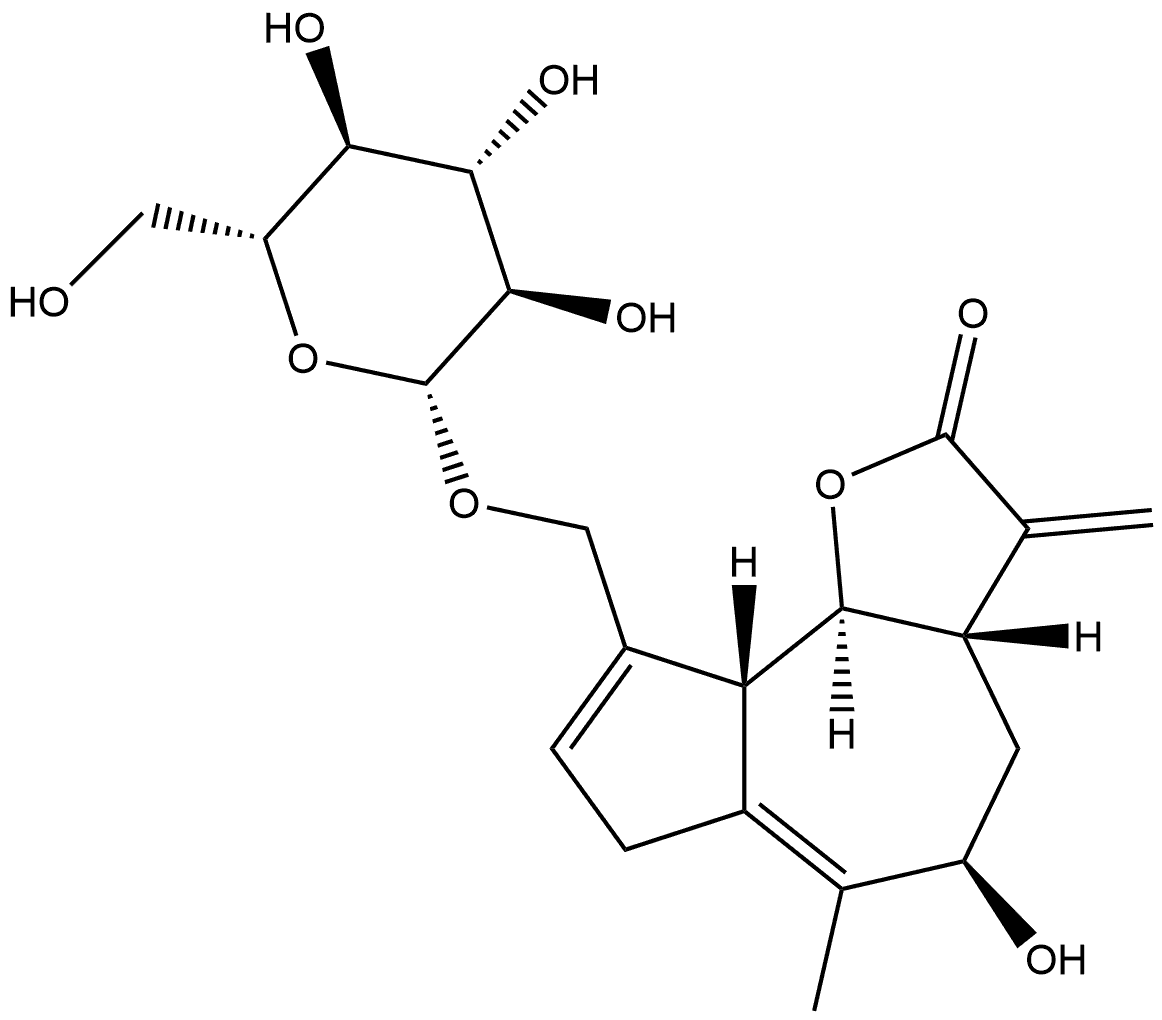
首页 化工产品目录 Azuleno[4,5-b]furan-2(3H)-one, 9-[(β-D-glucopyranosyloxy)methyl]-3a,4,5,7,9a,9b-hexahydro-5-hydroxy-6-methyl-3-methylene-, (3aS,5R,9aR,9bS)-
106235-34-1
Azuleno[4,5-b]furan-2(3H)-one, 9-[(β-D-glucopyranosyloxy)methyl]-3a,4,5,7,9a,9b-hexahydro-5-hydroxy-6-methyl-3-methylene-, (3aS,5R,9aR,9bS)-
产品纠错
CAS号:106235-34-1 | 英文名称:Azuleno[4,5-b]furan-2(3H)-one, 9-[(β-D-glucopyranosyloxy)methyl]-3a,4,5,7,9a,9b-hexahydro-5-hydroxy-6-methyl-3-methylene-, (3aS,5R,9aR,9bS)-
分子式 C21H28O9
分子量
EINECS号
MDL
Smiles
InChIKey
Azuleno[4,5-b]furan-2(3H)-one, 9-[(β-D-glucopyranosyloxy)methyl]-3a,4,5,7,9a,9b-hexahydro-5-hydroxy-6-methyl-3-methylene-, (3aS,5R,9aR,9bS)-化学百科
基本信息
中文名称 Azuleno[4,5-b]furan-2(3H)-one, 9-[(β-D-glucopyranosyloxy)methyl]-3a,4,5,7,9a,9b-hexahydro-5-hydroxy-6-methyl-3-methylene-, (3aS,5R,9aR,9bS)-
英文名称 Azuleno[4,5-b]furan-2(3H)-one, 9-[(β-D-glucopyranosyloxy)methyl]-3a,4,5,7,9a,9b-hexahydro-5-hydroxy-6-methyl-3-methylene-, (3aS,5R,9aR,9bS)-
CAS号 106235-34-1
分子式 C21H28O9
分子量 424.44
物化性质
安全信息
生产及用途
上下游产品
上游产品共计:0
下游产品共计:0
相关产品
产品供应商