您好!欢迎来到化工e站网 登录 注册
我的EWeb ▼
导航菜单 ▼
中文 ▼
医药中间体
无机化工
有机原料
原料药
染料及颜料
表面活性剂
香精与香料
化学试剂
食品添加剂
催化剂及助剂
分析化学
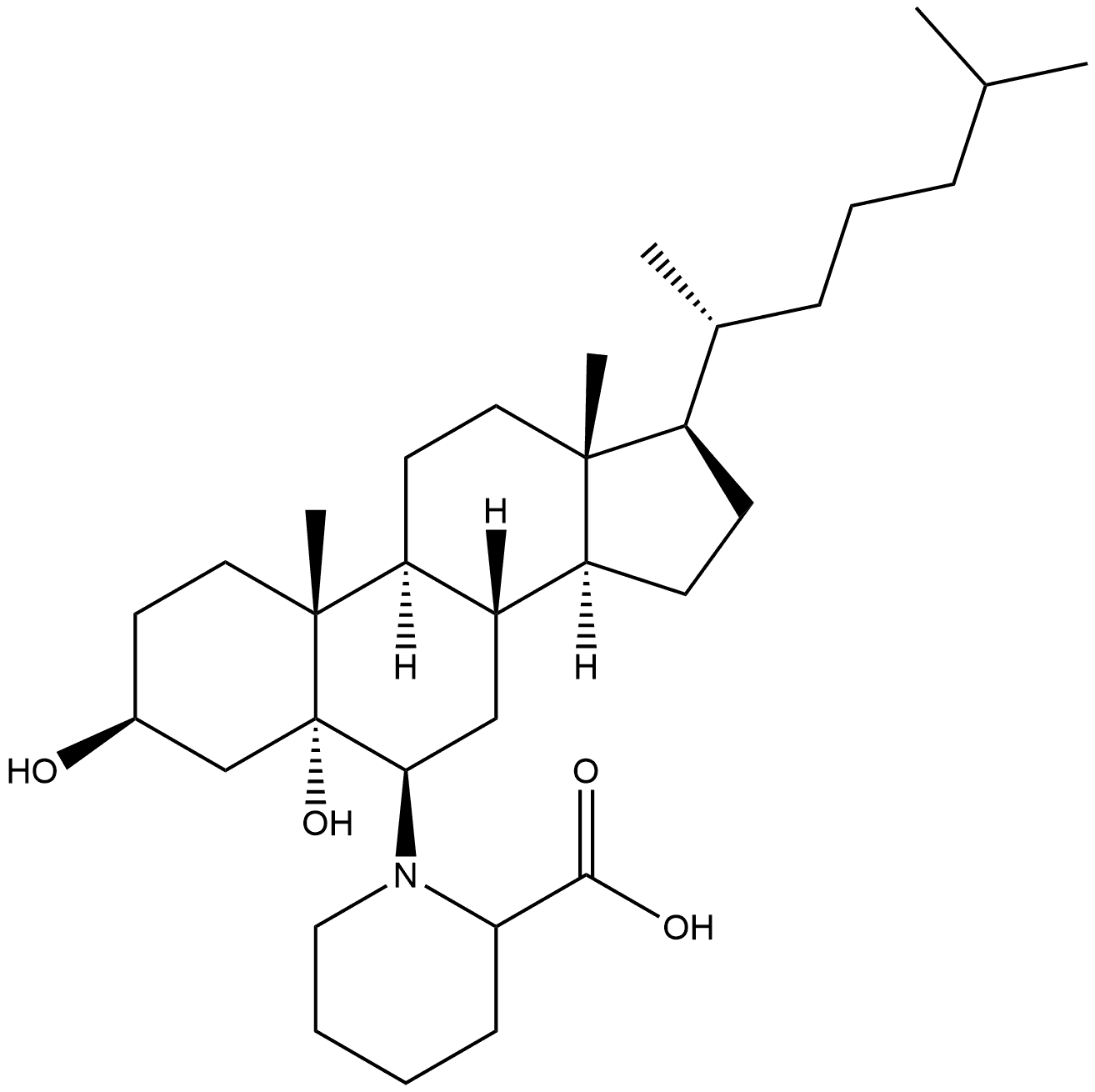
首页 化工产品目录 2-Piperidinecarboxylic acid, 1-[(3β,5α,6β)-3,5-dihydroxycholestan-6-yl]- (9CI)
106057-84-5
2-Piperidinecarboxylic acid, 1-[(3β,5α,6β)-3,5-dihydroxycholestan-6-yl]- (9CI)
产品纠错
CAS号:106057-84-5 | 英文名称:2-Piperidinecarboxylic acid, 1-[(3β,5α,6β)-3,5-dihydroxycholestan-6-yl]- (9CI)
分子式
分子量
EINECS号
MDL
Smiles
InChIKey
2-Piperidinecarboxylic acid, 1-[(3β,5α,6β)-3,5-dihydroxycholestan-6-yl]- (9CI)化学百科
基本信息
中文名称 2-Piperidinecarboxylic acid, 1-[(3β,5α,6β)-3,5-dihydroxycholestan-6-yl]- (9CI)
英文名称 2-Piperidinecarboxylic acid, 1-[(3β,5α,6β)-3,5-dihydroxycholestan-6-yl]- (9CI)
CAS号 106057-84-5
分子式 C33H57NO4
分子量 531.81
物化性质
安全信息
生产及用途
上下游产品
上游产品共计:0
下游产品共计:0
相关产品
产品供应商