您好!欢迎来到化工e站网 登录 注册
我的EWeb ▼
导航菜单 ▼
中文 ▼
医药中间体
无机化工
有机原料
原料药
染料及颜料
表面活性剂
香精与香料
化学试剂
食品添加剂
催化剂及助剂
分析化学
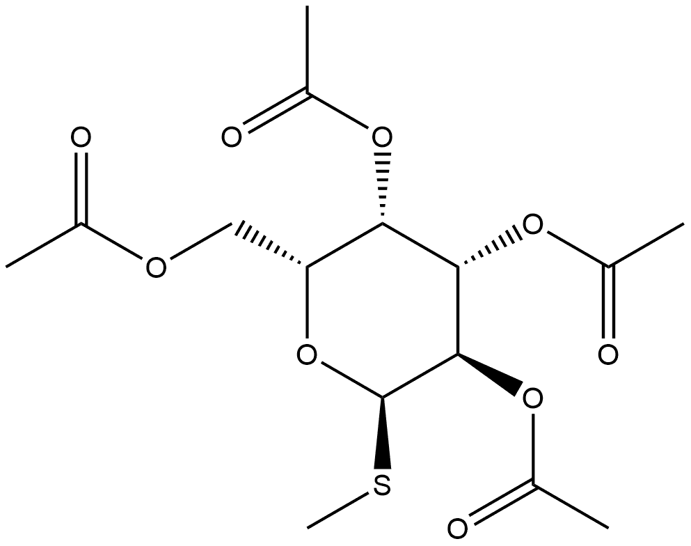
首页 化工产品目录 α-D-Galactopyranoside, methyl 1-thio-, 2,3,4,6-tetraacetate
105928-98-1
α-D-Galactopyranoside, methyl 1-thio-, 2,3,4,6-tetraacetate
产品纠错
CAS号:105928-98-1 | 英文名称:α-D-Galactopyranoside, methyl 1-thio-, 2,3,4,6-tetraacetate
分子式 C15H22O9S
分子量
EINECS号
MDL
Smiles
InChIKey
α-D-Galactopyranoside, methyl 1-thio-, 2,3,4,6-tetraacetate化学百科
基本信息
中文名称 α-D-Galactopyranoside, methyl 1-thio-, 2,3,4,6-tetraacetate
英文名称 α-D-Galactopyranoside, methyl 1-thio-, 2,3,4,6-tetraacetate
CAS号 105928-98-1
分子式 C15H22O9S
分子量 378.39
物化性质
安全信息
生产及用途
上下游产品
上游产品共计:0
下游产品共计:0
相关产品
产品供应商