您好!欢迎来到化工e站网 登录 注册
我的EWeb ▼
导航菜单 ▼
中文 ▼
医药中间体
无机化工
有机原料
原料药
染料及颜料
表面活性剂
香精与香料
化学试剂
食品添加剂
催化剂及助剂
分析化学
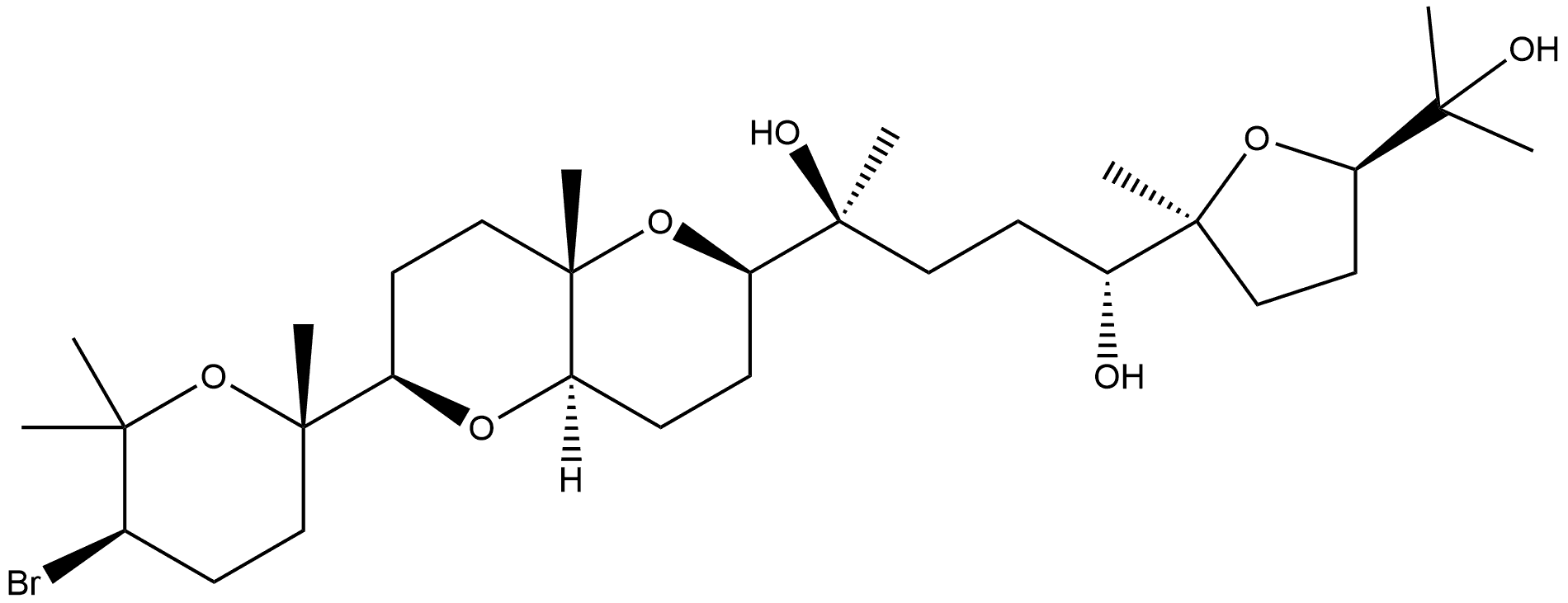
首页 化工产品目录 2,5-Furandimethanol, α2-[(3S)-3-[(2R,4aR,6R,8aS)-6-[(2S,5R)-5-bromotetrahydro-2,6,6-trimethyl-2H-pyran-2-yl]octahydro-8a-methylpyrano[3,2-b]pyran-2-yl]-3-hydroxybutyl]tetrahydro-α5,α5,2-trimethyl-, (α2R,2S,5R)-
105880-10-2
2,5-Furandimethanol, α2-[(3S)-3-[(2R,4aR,6R,8aS)-6-[(2S,5R)-5-bromotetrahydro-2,6,6-trimethyl-2H-pyran-2-yl]octahydro-8a-methylpyrano[3,2-b]pyran-2-yl]-3-hydroxybutyl]tetrahydro-α5,α5,2-trimethyl-, (α2R,2S,5R)-
产品纠错
CAS号:105880-10-2 | 英文名称:2,5-Furandimethanol, α2-[(3S)-3-[(2R,4aR,6R,8aS)-6-[(2S,5R)-5-bromotetrahydro-2,6,6-trimethyl-2H-pyran-2-yl]octahydro-8a-methylpyrano[3,2-b]pyran-2-yl]-3-hydroxybutyl]tetrahydro-α5,α5,2-trimethyl-, (α2R,2S,5R)-
分子式 C30H53BrO7
分子量
EINECS号
MDL
Smiles
InChIKey
2,5-Furandimethanol, α2-[(3S)-3-[(2R,4aR,6R,8aS)-6-[(2S,5R)-5-bromotetrahydro-2,6,6-trimethyl-2H-pyran-2-yl]octahydro-8a-methylpyrano[3,2-b]pyran-2-yl]-3-hydroxybutyl]tetrahydro-α5,α5,2-trimethyl-, (α2R,2S,5R)-化学百科
基本信息
中文名称 2,5-Furandimethanol, α2-[(3S)-3-[(2R,4aR,6R,8aS)-6-[(2S,5R)-5-bromotetrahydro-2,6,6-trimethyl-2H-pyran-2-yl]octahydro-8a-methylpyrano[3,2-b]pyran-2-yl]-3-hydroxybutyl]tetrahydro-α5,α5,2-trimethyl-, (α2R,2S,5R)-
英文名称 2,5-Furandimethanol, α2-[(3S)-3-[(2R,4aR,6R,8aS)-6-[(2S,5R)-5-bromotetrahydro-2,6,6-trimethyl-2H-pyran-2-yl]octahydro-8a-methylpyrano[3,2-b]pyran-2-yl]-3-hydroxybutyl]tetrahydro-α5,α5,2-trimethyl-, (α2R,2S,5R)-
CAS号 105880-10-2
分子式 C30H53BrO7
分子量 605.64
物化性质
安全信息
生产及用途
上下游产品
上游产品共计:0
下游产品共计:0
相关产品
产品供应商