您好!欢迎来到化工e站网 登录 注册
我的EWeb ▼
导航菜单 ▼
中文 ▼
医药中间体
无机化工
有机原料
原料药
染料及颜料
表面活性剂
香精与香料
化学试剂
食品添加剂
催化剂及助剂
分析化学
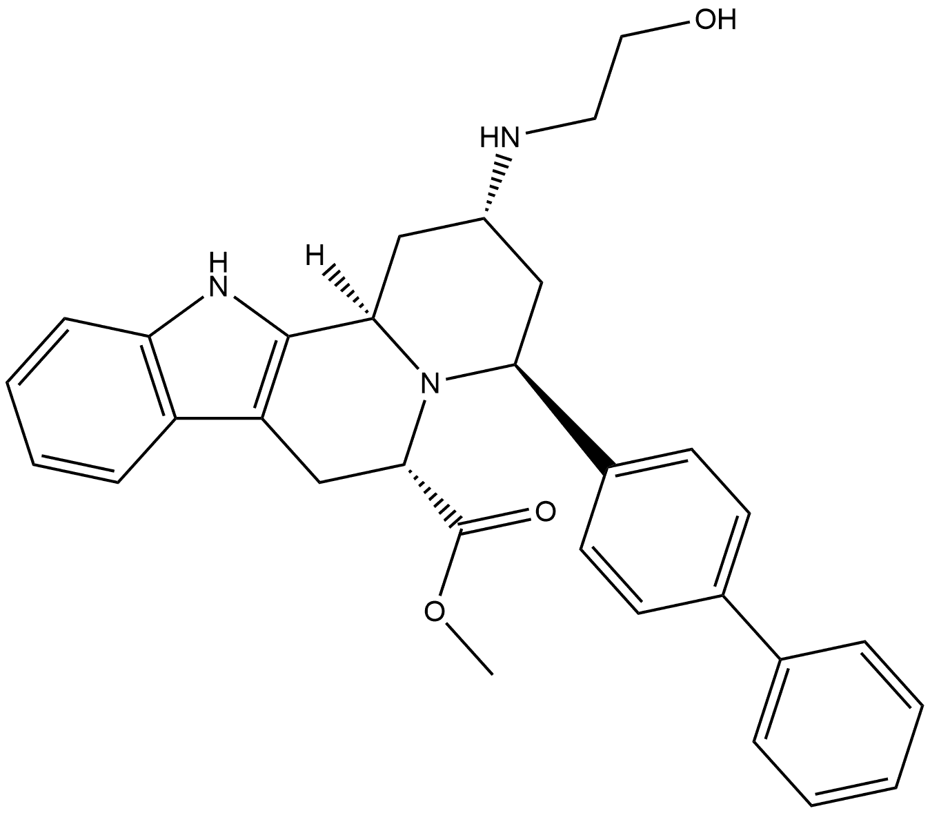
首页 化工产品目录 Methyl (2R,4S,6S,12bR)-4-[1,1′-biphenyl]-4-yl-1,2,3,4,6,7,12,12b-octahydro-2-[(2-hydroxyethyl)amino]indolo[2,3-a]quinolizine-6-carboxylate
1056832-85-9
Methyl (2R,4S,6S,12bR)-4-[1,1′-biphenyl]-4-yl-1,2,3,4,6,7,12,12b-octahydro-2-[(2-hydroxyethyl)amino]indolo[2,3-a]quinolizine-6-carboxylate
产品纠错
CAS号:1056832-85-9 | 英文名称:Methyl (2R,4S,6S,12bR)-4-[1,1′-biphenyl]-4-yl-1,2,3,4,6,7,12,12b-octahydro-2-[(2-hydroxyethyl)amino]indolo[2,3-a]quinolizine-6-carboxylate
分子式
分子量
EINECS号
MDL
Smiles
InChIKey
Methyl (2R,4S,6S,12bR)-4-[1,1′-biphenyl]-4-yl-1,2,3,4,6,7,12,12b-octahydro-2-[(2-hydroxyethyl)amino]indolo[2,3-a]quinolizine-6-carboxylate化学百科
基本信息
中文名称 Methyl (2R,4S,6S,12bR)-4-[1,1′-biphenyl]-4-yl-1,2,3,4,6,7,12,12b-octahydro-2-[(2-hydroxyethyl)amino]indolo[2,3-a]quinolizine-6-carboxylate
英文名称 Methyl (2R,4S,6S,12bR)-4-[1,1′-biphenyl]-4-yl-1,2,3,4,6,7,12,12b-octahydro-2-[(2-hydroxyethyl)amino]indolo[2,3-a]quinolizine-6-carboxylate
CAS号 1056832-85-9
分子式 C31H33N3O3
分子量 495.61
物化性质
安全信息
生产及用途
上下游产品
上游产品共计:0
下游产品共计:0
相关产品
产品供应商