您好!欢迎来到化工e站网 登录 注册
我的EWeb ▼
导航菜单 ▼
中文 ▼
医药中间体
无机化工
有机原料
原料药
染料及颜料
表面活性剂
香精与香料
化学试剂
食品添加剂
催化剂及助剂
分析化学
首页 化工产品目录 Pregna-4,17(20)-dien-3-one, 11β,16,21-trihydroxy-, 21-acetate (7CI,8CI)
1055-07-8
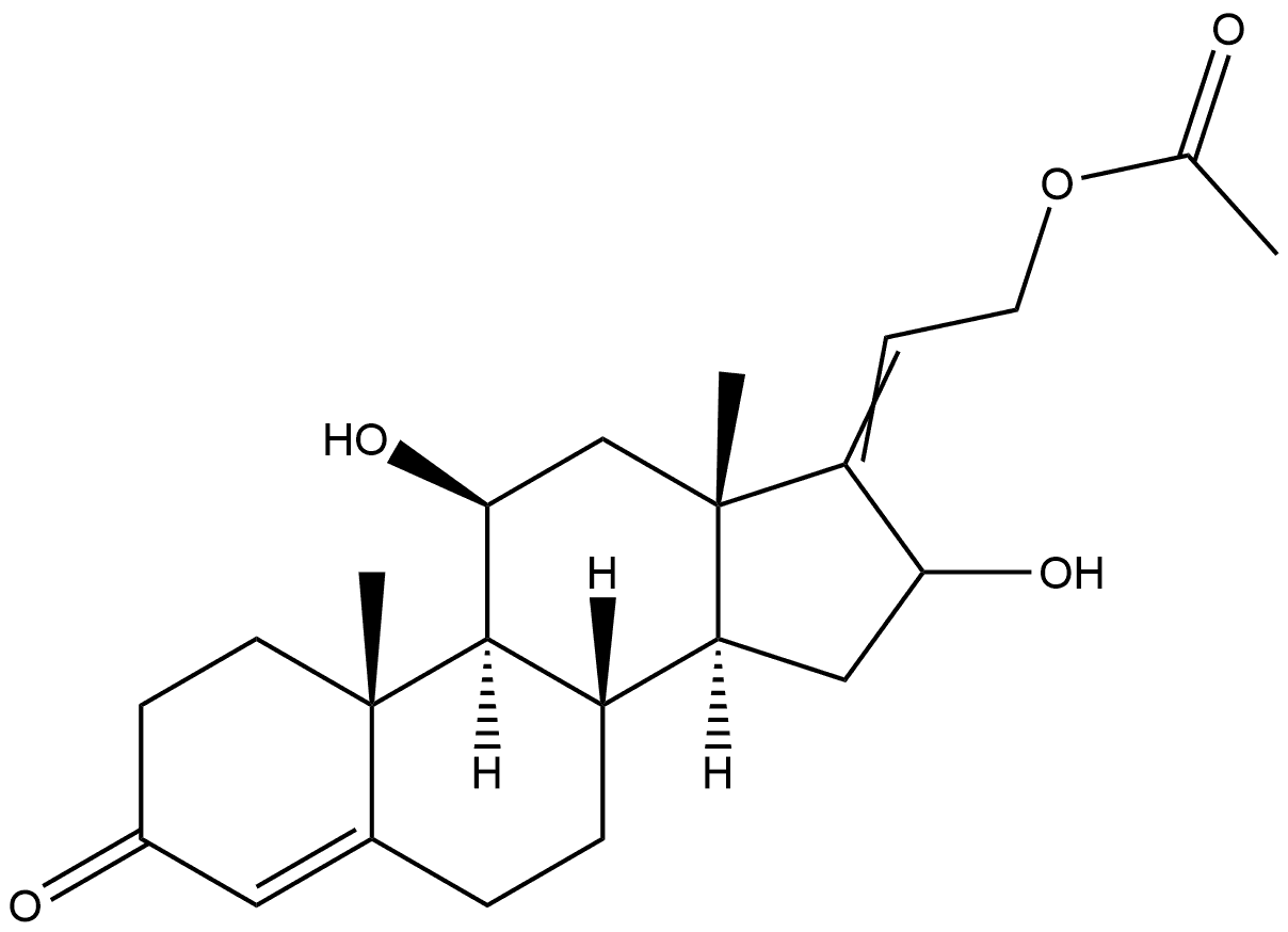
Pregna-4,17(20)-dien-3-one, 11β,16,21-trihydroxy-, 21-acetate (7CI,8CI)
产品纠错
CAS号:1055-07-8 | 英文名称:Pregna-4,17(20)-dien-3-one, 11β,16,21-trihydroxy-, 21-acetate (7CI,8CI)
分子式 C23H32O5
分子量 388
EINECS号
MDL
Smiles
InChIKey
Pregna-4,17(20)-dien-3-one, 11β,16,21-trihydroxy-, 21-acetate (7CI,8CI)化学百科
基本信息
中文名称 Pregna-4,17(20)-dien-3-one, 11β,16,21-trihydroxy-, 21-acetate (7CI,8CI)
英文名称 Pregna-4,17(20)-dien-3-one, 11β,16,21-trihydroxy-, 21-acetate (7CI,8CI)
CAS号 1055-07-8
分子式 C23H32O5
分子量 388.5
物化性质
安全信息
生产及用途
上下游产品
上游产品共计:0
下游产品共计:0
相关产品
产品供应商