您好!欢迎来到化工e站网 登录 注册
我的EWeb ▼
导航菜单 ▼
中文 ▼
医药中间体
无机化工
有机原料
原料药
染料及颜料
表面活性剂
香精与香料
化学试剂
食品添加剂
催化剂及助剂
分析化学
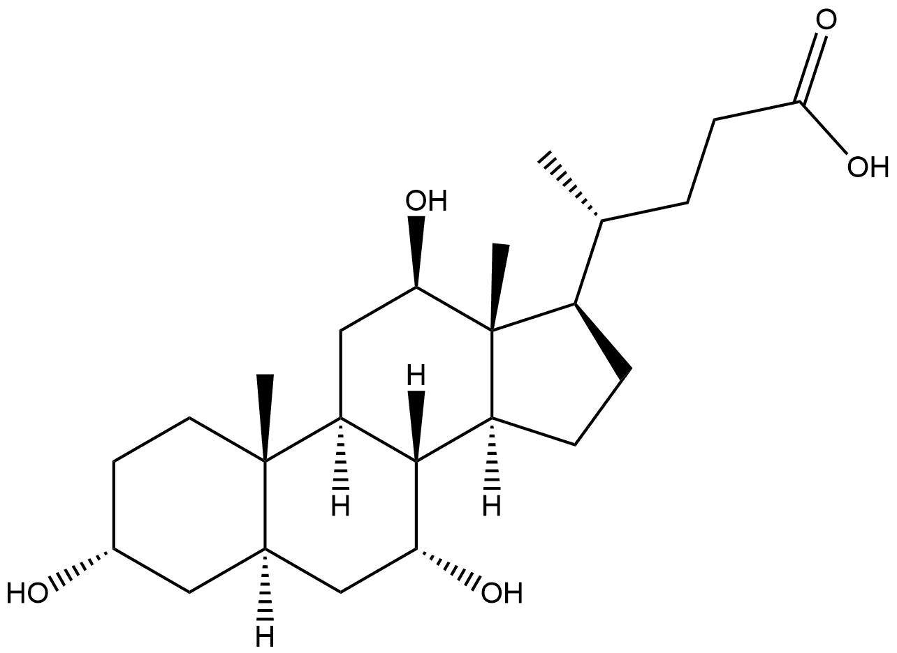
首页 化工产品目录 (3α,5α,7α,12β)-3,7,12-Trihydroxycholan-24-oic Acid
105227-32-5
(3α,5α,7α,12β)-3,7,12-Trihydroxycholan-24-oic Acid
产品纠错
CAS号:105227-32-5 | 英文名称:(3α,5α,7α,12β)-3,7,12-Trihydroxycholan-24-oic Acid
分子式 C24H40O5
分子量
EINECS号
MDL
Smiles
InChIKey
(3α,5α,7α,12β)-3,7,12-Trihydroxycholan-24-oic Acid化学百科
基本信息
中文名称 (3α,5α,7α,12β)-3,7,12-Trihydroxycholan-24-oic Acid
英文名称 (3α,5α,7α,12β)-3,7,12-Trihydroxycholan-24-oic Acid
CAS号 105227-32-5
分子式 C24H40O5
分子量 408.57
物化性质
安全信息
生产及用途
上下游产品
上游产品共计:0
下游产品共计:0
相关产品
产品供应商