您好!欢迎来到化工e站网 登录 注册
我的EWeb ▼
导航菜单 ▼
中文 ▼
医药中间体
无机化工
有机原料
原料药
染料及颜料
表面活性剂
香精与香料
化学试剂
食品添加剂
催化剂及助剂
分析化学
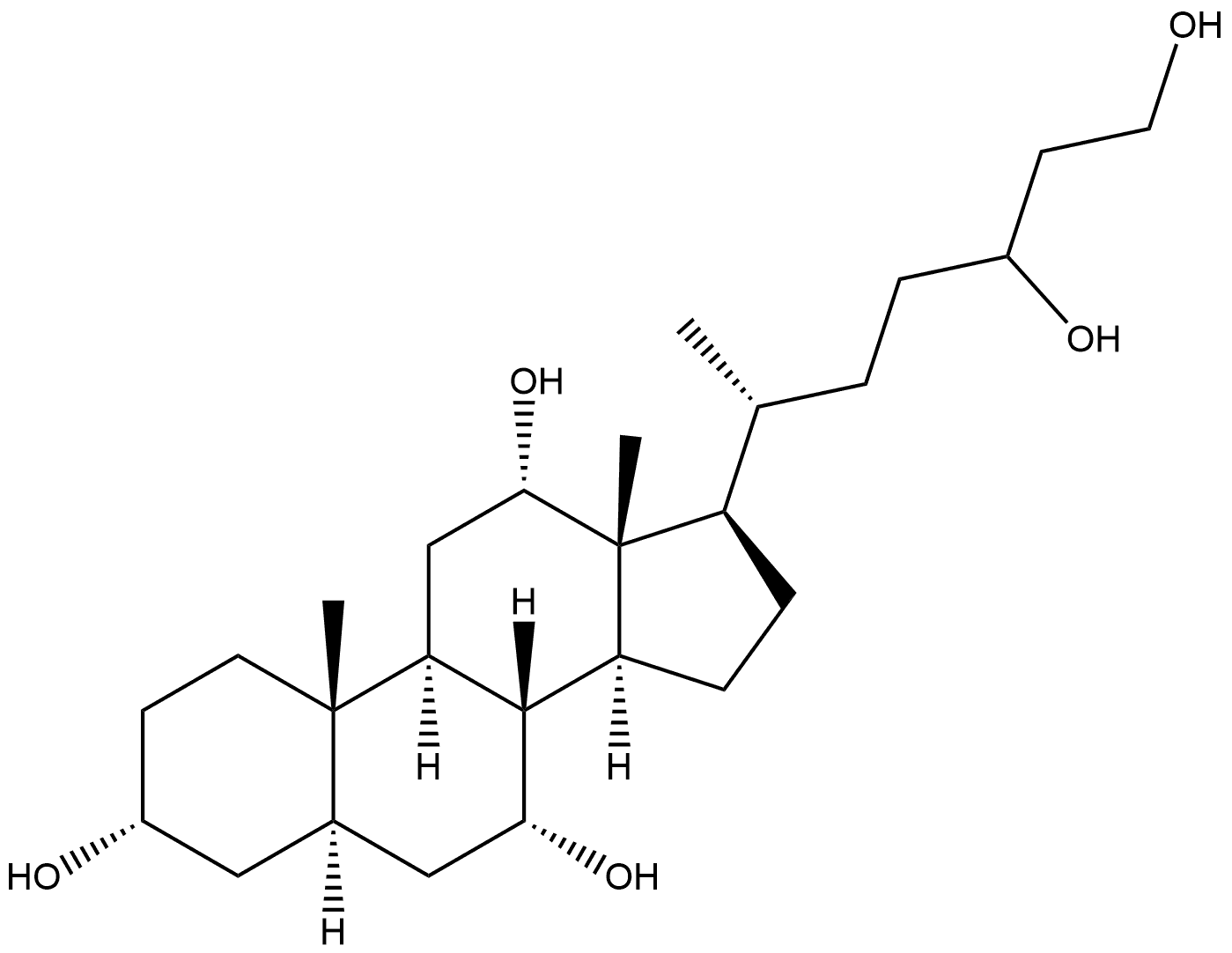
首页 化工产品目录 27-Nor-5α-cholestane-3α,7α,12α,24,26-pentol (7CI)
105120-43-2
27-Nor-5α-cholestane-3α,7α,12α,24,26-pentol (7CI)
产品纠错
CAS号:105120-43-2 | 英文名称:27-Nor-5α-cholestane-3α,7α,12α,24,26-pentol (7CI)
分子式
分子量
EINECS号
MDL
Smiles
InChIKey
27-Nor-5α-cholestane-3α,7α,12α,24,26-pentol (7CI)化学百科
基本信息
中文名称 27-Nor-5α-cholestane-3α,7α,12α,24,26-pentol (7CI)
英文名称 27-Nor-5α-cholestane-3α,7α,12α,24,26-pentol (7CI)
CAS号 105120-43-2
分子式 C26H46O5
分子量 438.64
物化性质
安全信息
生产及用途
上下游产品
上游产品共计:0
下游产品共计:0
相关产品
产品供应商