您好!欢迎来到化工e站网 登录 注册
我的EWeb ▼
导航菜单 ▼
中文 ▼
医药中间体
无机化工
有机原料
原料药
染料及颜料
表面活性剂
香精与香料
化学试剂
食品添加剂
催化剂及助剂
分析化学
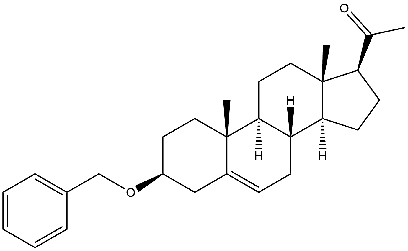
首页 化工产品目录 Pregn-5-en-20-one, 3-(phenylmethoxy)-, (3β)-
104948-25-6
Pregn-5-en-20-one, 3-(phenylmethoxy)-, (3β)-
产品纠错
CAS号:104948-25-6 | 英文名称:Pregn-5-en-20-one, 3-(phenylmethoxy)-, (3β)-
分子式 C28H38O2
分子量
EINECS号
MDL
Smiles
InChIKey
Pregn-5-en-20-one, 3-(phenylmethoxy)-, (3β)-化学百科
基本信息
中文名称 Pregn-5-en-20-one, 3-(phenylmethoxy)-, (3β)-
英文名称 Pregn-5-en-20-one, 3-(phenylmethoxy)-, (3β)-
CAS号 104948-25-6
分子式 C28H38O2
分子量 406.6
物化性质
安全信息
生产及用途
上下游产品
上游产品共计:0
下游产品共计:0
相关产品
产品供应商