您好!欢迎来到化工e站网 登录 注册
我的EWeb ▼
导航菜单 ▼
中文 ▼
医药中间体
无机化工
有机原料
原料药
染料及颜料
表面活性剂
香精与香料
化学试剂
食品添加剂
催化剂及助剂
分析化学
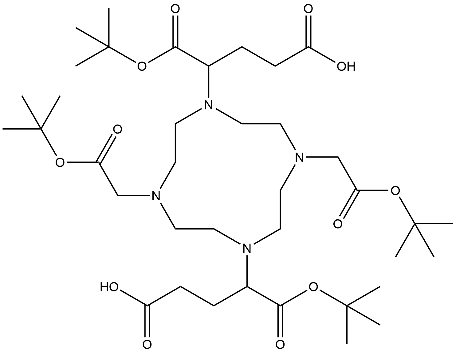
首页 化工产品目录 4,4'-(4,10-双(2-(叔丁氧基)-2-氧代乙基)-1,4,7,10-四氮杂环十二烷-1,7-二基)双(5-(叔丁氧基)-5-氧代戊酸)
1049020-11-2
4,4'-(4,10-双(2-(叔丁氧基)-2-氧代乙基)-1,4,7,10-四氮杂环十二烷-1,7-二基)双(5-(叔丁氧基)-5-氧代戊酸)
产品纠错
CAS号:1049020-11-2 | 英文名称:1,4,7,10-Tetraazacyclododecane-1,4,7-triacetic acid, 10-[3-carboxy-1-[(1,1-dimethylethoxy)carbonyl]propyl]-α4-(2-carboxyethyl)-, 1,4,7-tris(1,1-dimethylethyl) ester
分子式
分子量
EINECS号
MDL
Smiles
InChIKey
4,4'-(4,10-双(2-(叔丁氧基)-2-氧代乙基)-1,4,7,10-四氮杂环十二烷-1,7-二基)双(5-(叔丁氧基)-5-氧代戊酸)化学百科
基本信息
物化性质
安全信息
生产及用途
上下游产品
上游产品共计:0
下游产品共计:0
相关产品
产品供应商