您好!欢迎来到化工e站网 登录 注册
我的EWeb ▼
导航菜单 ▼
中文 ▼
医药中间体
无机化工
有机原料
原料药
染料及颜料
表面活性剂
香精与香料
化学试剂
食品添加剂
催化剂及助剂
分析化学
首页 化工产品目录 Cholan-24-oic acid, 4-bromo-3-oxo-, (4β,5β)-
104825-76-5
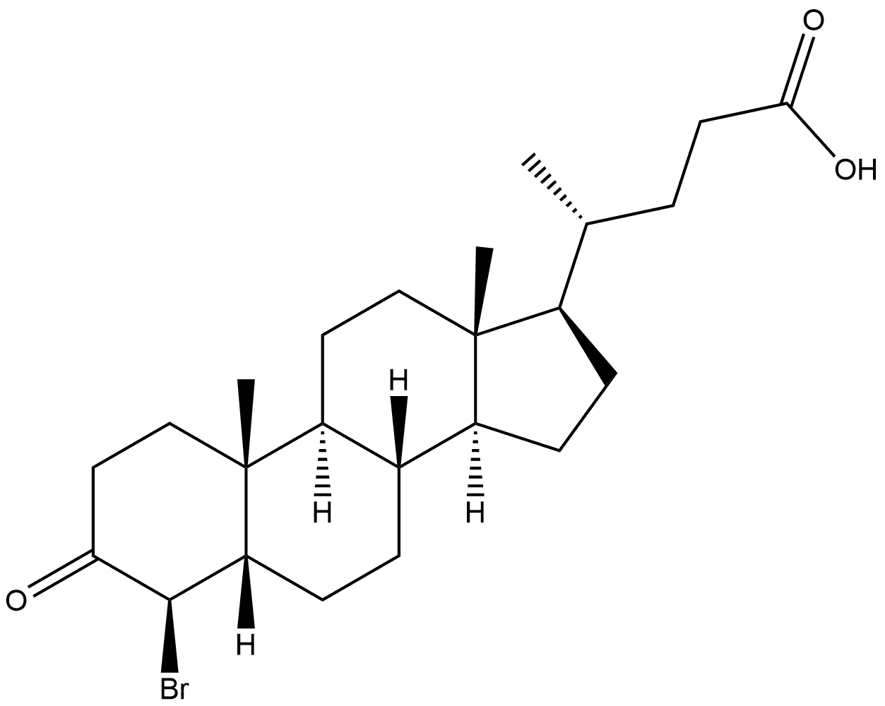
Cholan-24-oic acid, 4-bromo-3-oxo-, (4β,5β)-
产品纠错
CAS号:104825-76-5 | 英文名称:Cholan-24-oic acid, 4-bromo-3-oxo-, (4β,5β)-
分子式 C24H37BrO3
分子量 453
EINECS号
MDL
Smiles
InChIKey
Cholan-24-oic acid, 4-bromo-3-oxo-, (4β,5β)-化学百科
基本信息
中文名称 Cholan-24-oic acid, 4-bromo-3-oxo-, (4β,5β)-
英文名称 Cholan-24-oic acid, 4-bromo-3-oxo-, (4β,5β)-
CAS号 104825-76-5
分子式 C24H37BrO3
分子量 453.45
物化性质
安全信息
生产及用途
上下游产品
上游产品共计:0
下游产品共计:0
相关产品
产品供应商