您好!欢迎来到化工e站网 登录 注册
我的EWeb ▼
导航菜单 ▼
中文 ▼
医药中间体
无机化工
有机原料
原料药
染料及颜料
表面活性剂
香精与香料
化学试剂
食品添加剂
催化剂及助剂
分析化学
首页 化工产品目录 α-Cyclodextrin, O-α-D-glucopyranosyl-(1→4)-O-α-D-glucopyranosyl-(1→4)-O-α-D-glucopyranosyl-(1→6A)-
104745-18-8
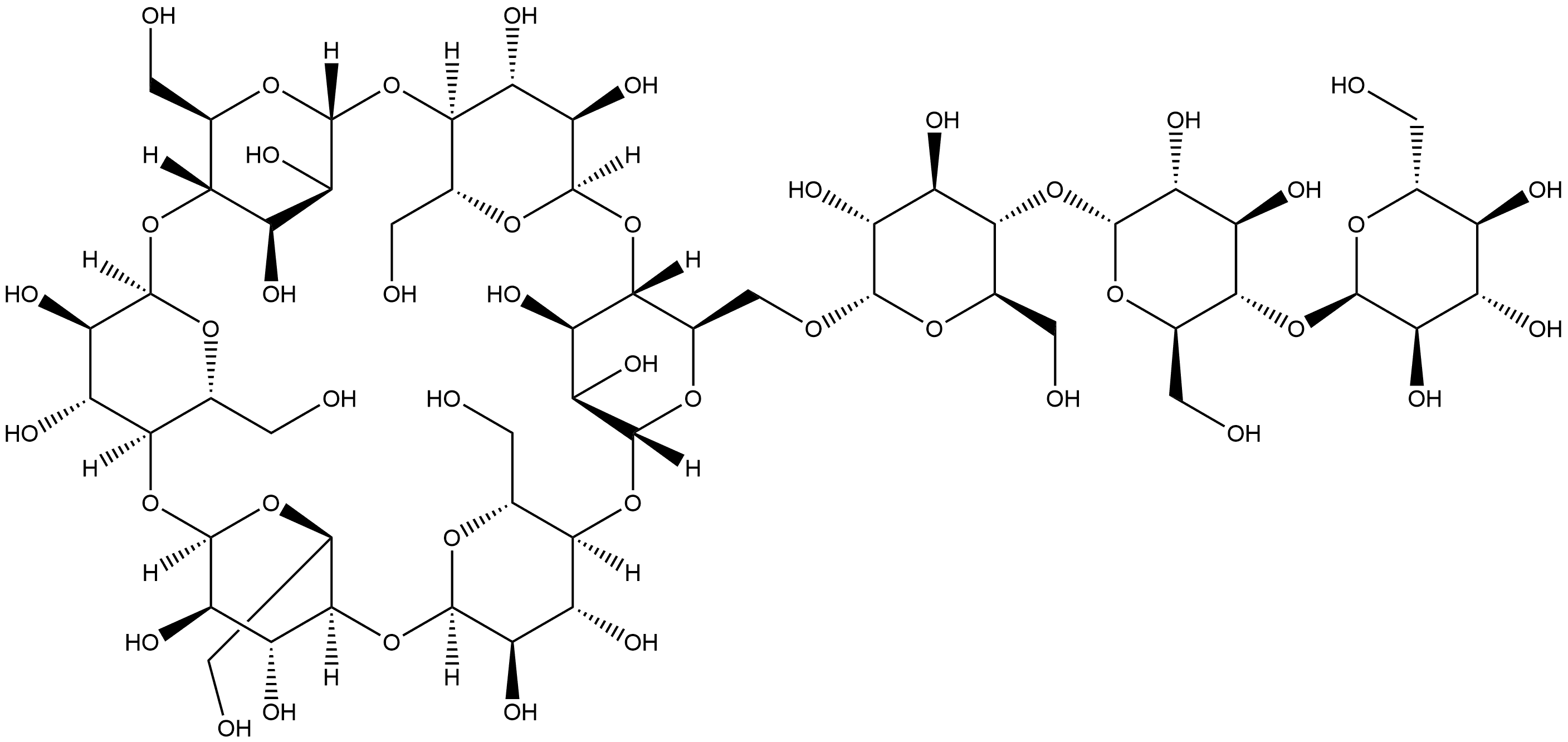
α-Cyclodextrin, O-α-D-glucopyranosyl-(1→4)-O-α-D-glucopyranosyl-(1→4)-O-α-D-glucopyranosyl-(1→6A)-
产品纠错
CAS号:104745-18-8 | 英文名称:α-Cyclodextrin, O-α-D-glucopyranosyl-(1→4)-O-α-D-glucopyranosyl-(1→4)-O-α-D-glucopyranosyl-(1→6A)-
分子式
分子量
EINECS号
MDL
Smiles
InChIKey
α-Cyclodextrin, O-α-D-glucopyranosyl-(1→4)-O-α-D-glucopyranosyl-(1→4)-O-α-D-glucopyranosyl-(1→6A)-化学百科
基本信息
中文名称 α-Cyclodextrin, O-α-D-glucopyranosyl-(1→4)-O-α-D-glucopyranosyl-(1→4)-O-α-D-glucopyranosyl-(1→6A)-
英文名称 α-Cyclodextrin, O-α-D-glucopyranosyl-(1→4)-O-α-D-glucopyranosyl-(1→4)-O-α-D-glucopyranosyl-(1→6A)-
CAS号 104745-18-8
分子式 C54H90O45
分子量 1459.27
物化性质
安全信息
生产及用途
上下游产品
上游产品共计:0
下游产品共计:0
相关产品
产品供应商