您好!欢迎来到化工e站网 登录 注册
我的EWeb ▼
导航菜单 ▼
中文 ▼
医药中间体
无机化工
有机原料
原料药
染料及颜料
表面活性剂
香精与香料
化学试剂
食品添加剂
催化剂及助剂
分析化学
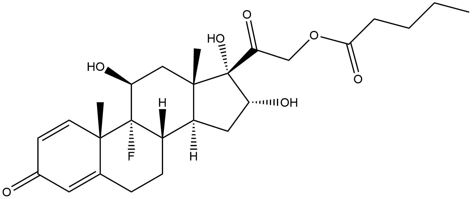
首页 化工产品目录 Pregna-1,4-diene-3,20-dione, 9-fluoro-11,16,17-trihydroxy-21-[(1-oxopentyl)oxy]-, (11β,16α)- (9CI)
10452-96-7
Pregna-1,4-diene-3,20-dione, 9-fluoro-11,16,17-trihydroxy-21-[(1-oxopentyl)oxy]-, (11β,16α)- (9CI)
产品纠错
CAS号:10452-96-7 | 英文名称:Pregna-1,4-diene-3,20-dione, 9-fluoro-11,16,17-trihydroxy-21-[(1-oxopentyl)oxy]-, (11β,16α)- (9CI)
分子式 C26H35FO7
分子量 479
EINECS号
MDL
Smiles
InChIKey
Pregna-1,4-diene-3,20-dione, 9-fluoro-11,16,17-trihydroxy-21-[(1-oxopentyl)oxy]-, (11β,16α)- (9CI)化学百科
基本信息
中文名称 Pregna-1,4-diene-3,20-dione, 9-fluoro-11,16,17-trihydroxy-21-[(1-oxopentyl)oxy]-, (11β,16α)- (9CI)
英文名称 Pregna-1,4-diene-3,20-dione, 9-fluoro-11,16,17-trihydroxy-21-[(1-oxopentyl)oxy]-, (11β,16α)- (9CI)
CAS号 10452-96-7
分子式 C26H35FO7
分子量 478.55
物化性质
安全信息
生产及用途
上下游产品
上游产品共计:0
下游产品共计:0
相关产品
产品供应商