您好!欢迎来到化工e站网 登录 注册
我的EWeb ▼
导航菜单 ▼
中文 ▼
医药中间体
无机化工
有机原料
原料药
染料及颜料
表面活性剂
香精与香料
化学试剂
食品添加剂
催化剂及助剂
分析化学
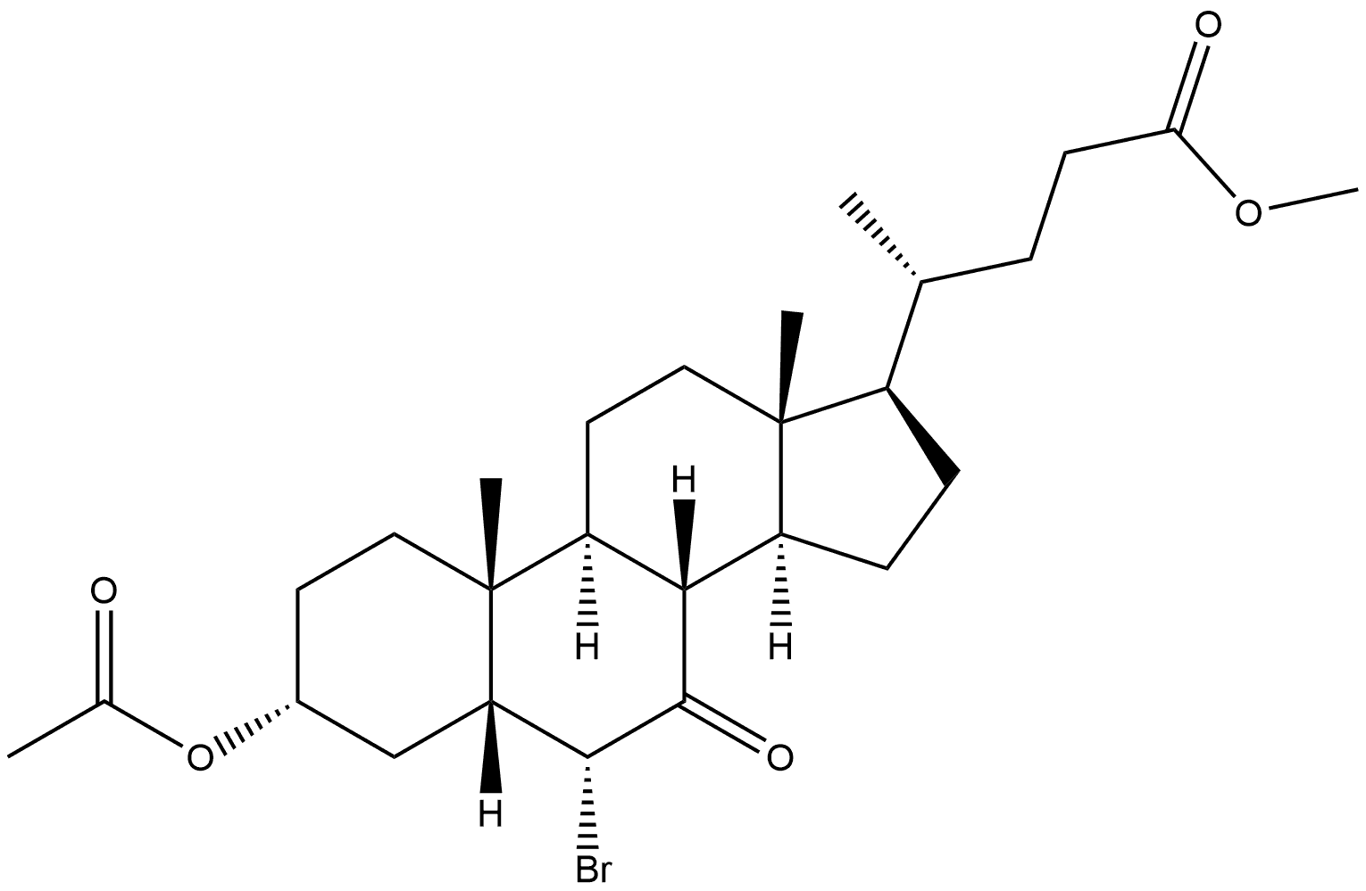
首页 化工产品目录 Methyl (3α,5β,6α)-3-(Acetyloxy)-6-bromo-7-oxo-cholan-24-oic Acid Ester
10452-64-9
Methyl (3α,5β,6α)-3-(Acetyloxy)-6-bromo-7-oxo-cholan-24-oic Acid Ester
产品纠错
CAS号:10452-64-9 | 英文名称:Methyl (3α,5β,6α)-3-(Acetyloxy)-6-bromo-7-oxo-cholan-24-oic Acid Ester
分子式 C27H41BrO5
分子量
EINECS号
MDL
Smiles
InChIKey
Methyl (3α,5β,6α)-3-(Acetyloxy)-6-bromo-7-oxo-cholan-24-oic Acid Ester化学百科
基本信息
中文名称 Methyl (3α,5β,6α)-3-(Acetyloxy)-6-bromo-7-oxo-cholan-24-oic Acid Ester
英文名称 Methyl (3α,5β,6α)-3-(Acetyloxy)-6-bromo-7-oxo-cholan-24-oic Acid Ester
CAS号 10452-64-9
分子式 C27H41BrO5
分子量 525.52
物化性质
安全信息
生产及用途
上下游产品
上游产品共计:2
下游产品共计:0
相关产品
产品供应商