您好!欢迎来到化工e站网 登录 注册
我的EWeb ▼
导航菜单 ▼
中文 ▼
医药中间体
无机化工
有机原料
原料药
染料及颜料
表面活性剂
香精与香料
化学试剂
食品添加剂
催化剂及助剂
分析化学
首页 化工产品目录 生物 ELISA 试剂盒 Pyridinium, 4-(dimethylamino)-1-[(dimethylamino)(dimethyliminio)methyl]-, 1,1,1-trifluoromethanesulfonate (1:2)
104488-53-1
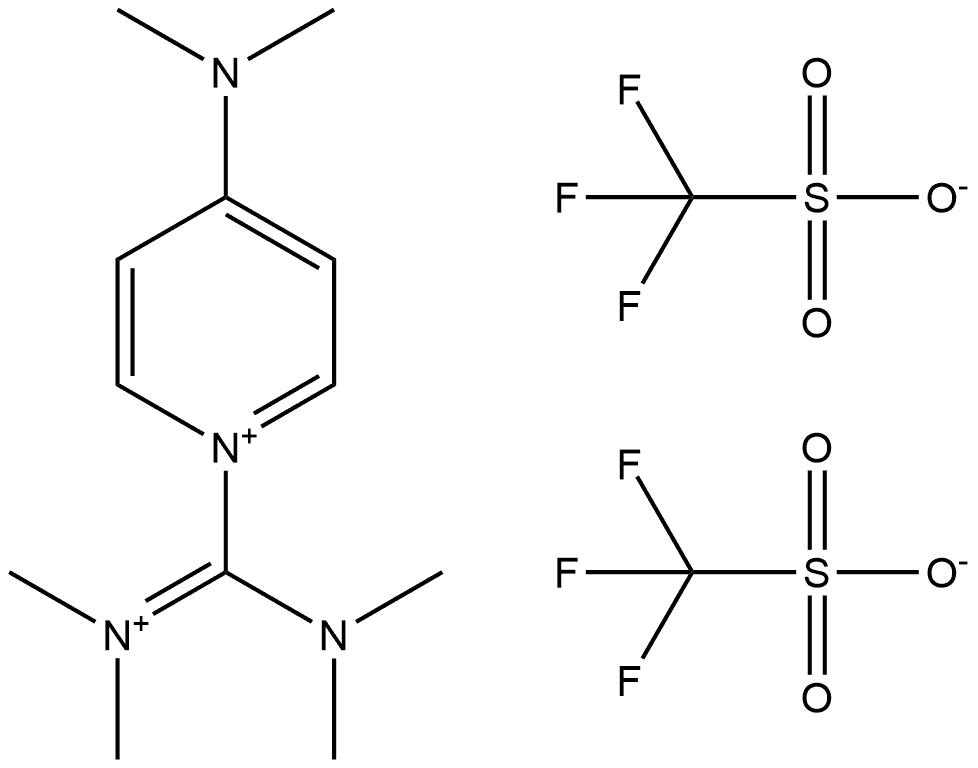
Pyridinium, 4-(dimethylamino)-1-[(dimethylamino)(dimethyliminio)methyl]-, 1,1,1-trifluoromethanesulfonate (1:2)
产品纠错
CAS号:104488-53-1 | 英文名称:Pyridinium, 4-(dimethylamino)-1-[(dimethylamino)(dimethyliminio)methyl]-, 1,1,1-trifluoromethanesulfonate (1:2)
分子式
分子量
EINECS号
MDL
Smiles
InChIKey
Pyridinium, 4-(dimethylamino)-1-[(dimethylamino)(dimethyliminio)methyl]-, 1,1,1-trifluoromethanesulfonate (1:2)化学百科
基本信息
中文名称 Pyridinium, 4-(dimethylamino)-1-[(dimethylamino)(dimethyliminio)methyl]-, 1,1,1-trifluoromethanesulfonate (1:2)
英文名称 Pyridinium, 4-(dimethylamino)-1-[(dimethylamino)(dimethyliminio)methyl]-, 1,1,1-trifluoromethanesulfonate (1:2)
CAS号 104488-53-1
分子式 C12H22N4.2CF3O3S
分子量 520.47
物化性质
安全信息
生产及用途
上下游产品
上游产品共计:0
下游产品共计:0
相关产品
产品供应商