您好!欢迎来到化工e站网 登录 注册
我的EWeb ▼
导航菜单 ▼
中文 ▼
医药中间体
无机化工
有机原料
原料药
染料及颜料
表面活性剂
香精与香料
化学试剂
食品添加剂
催化剂及助剂
分析化学
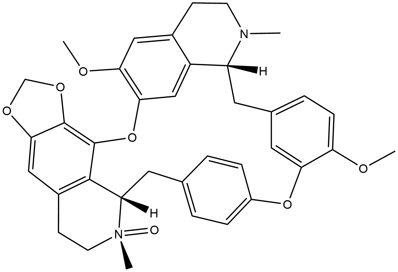
首页 化工产品目录 1H-4,6:16,19-Dietheno-21,25-metheno-12H-[1,3]dioxolo[4,5-g]pyrido[2',3':17,18][1,10]dioxacycloeicosino[2,3,4-ij]isoquinoline, 2,3,13,14,14a,15,26,26a-octahydro-22,30-dimethoxy-1,14-dimethyl-, 14-oxide, (14R,14aS,26aR)- (9CI)
104386-92-7
1H-4,6:16,19-Dietheno-21,25-metheno-12H-[1,3]dioxolo[4,5-g]pyrido[2',3':17,18][1,10]dioxacycloeicosino[2,3,4-ij]isoquinoline, 2,3,13,14,14a,15,26,26a-octahydro-22,30-dimethoxy-1,14-dimethyl-, 14-oxide, (14R,14aS,26aR)- (9CI)
产品纠错
CAS号:104386-92-7 | 英文名称:1H-4,6:16,19-Dietheno-21,25-metheno-12H-[1,3]dioxolo[4,5-g]pyrido[2',3':17,18][1,10]dioxacycloeicosino[2,3,4-ij]isoquinoline, 2,3,13,14,14a,15,26,26a-octahydro-22,30-dimethoxy-1,14-dimethyl-, 14-oxide, (14R,14aS,26aR)- (9CI)
分子式 C37H38N2O7
分子量 623
EINECS号
MDL
Smiles
InChIKey
1H-4,6:16,19-Dietheno-21,25-metheno-12H-[1,3]dioxolo[4,5-g]pyrido[2',3':17,18][1,10]dioxacycloeicosino[2,3,4-ij]isoquinoline, 2,3,13,14,14a,15,26,26a-octahydro-22,30-dimethoxy-1,14-dimethyl-, 14-oxide, (14R,14aS,26aR)- (9CI)化学百科
基本信息
中文名称 1H-4,6:16,19-Dietheno-21,25-metheno-12H-[1,3]dioxolo[4,5-g]pyrido[2',3':17,18][1,10]dioxacycloeicosino[2,3,4-ij]isoquinoline, 2,3,13,14,14a,15,26,26a-octahydro-22,30-dimethoxy-1,14-dimethyl-, 14-oxide, (14R,14aS,26aR)- (9CI)
英文名称 1H-4,6:16,19-Dietheno-21,25-metheno-12H-[1,3]dioxolo[4,5-g]pyrido[2',3':17,18][1,10]dioxacycloeicosino[2,3,4-ij]isoquinoline, 2,3,13,14,14a,15,26,26a-octahydro-22,30-dimethoxy-1,14-dimethyl-, 14-oxide, (14R,14aS,26aR)- (9CI)
CAS号 104386-92-7
分子式 C37H38N2O7
分子量 622.71
物化性质
安全信息
生产及用途
上下游产品
上游产品共计:0
下游产品共计:0
相关产品
产品供应商