您好!欢迎来到化工e站网 登录 注册
我的EWeb ▼
导航菜单 ▼
中文 ▼
医药中间体
无机化工
有机原料
原料药
染料及颜料
表面活性剂
香精与香料
化学试剂
食品添加剂
催化剂及助剂
分析化学
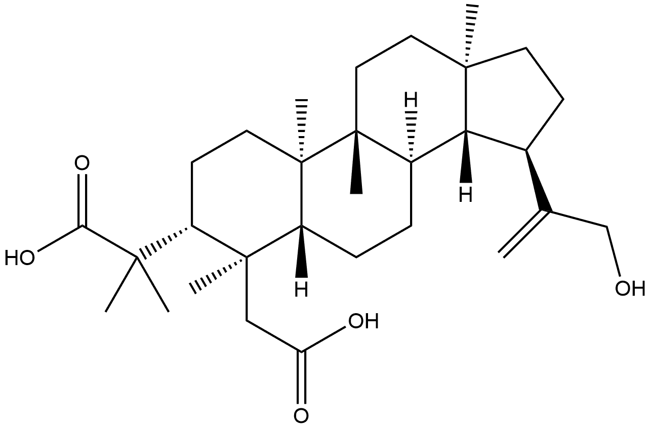
首页 化工产品目录 Androstane-3,4-diacetic acid, 15-[1-(hydroxymethyl)ethenyl]-α3,α3,4,9-tetramethyl-, (3α,4β,5β,8α,9β,10α,13α,14β,15β)-
1041203-59-1
Androstane-3,4-diacetic acid, 15-[1-(hydroxymethyl)ethenyl]-α3,α3,4,9-tetramethyl-, (3α,4β,5β,8α,9β,10α,13α,14β,15β)-
产品纠错
CAS号:1041203-59-1 | 英文名称:Androstane-3,4-diacetic acid, 15-[1-(hydroxymethyl)ethenyl]-α3,α3,4,9-tetramethyl-, (3α,4β,5β,8α,9β,10α,13α,14β,15β)-
分子式
分子量
EINECS号
MDL
Smiles
InChIKey
Androstane-3,4-diacetic acid, 15-[1-(hydroxymethyl)ethenyl]-α3,α3,4,9-tetramethyl-, (3α,4β,5β,8α,9β,10α,13α,14β,15β)-化学百科
基本信息
物化性质
安全信息
生产及用途
上下游产品
上游产品共计:0
下游产品共计:0
相关产品
产品供应商