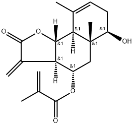
CAS号:104021-39-8
|
英文名称:8α-Methacryloyloxybalchanin
8α-Methacryloyloxybalchanin化学百科
基本信息
| 中文名称 |
8ALPHA-甲基丙烯酰氧基巴尔喀蒿烯内酯
|
| 英文名称 |
8α-Methacryloyloxybalchanin
|
| CAS号 |
104021-39-8
|
| 分子式 |
C19H24O5
|
| 分子量 |
332.4
|
相关产品
-
CAS号:72715-02-7
冬青醇
-
CAS号:816456-90-3
(4AS,7S)-5,6,7,8-四氢-7-羟基-7-(1-羟基-1-甲基乙基)-1,4A-二甲基-2(4AH)-萘酮
-
CAS号:150150-61-1
11,13-二氢依瓦菊林
-
CAS号:69978-82-1
异木香酸
-
CAS号:80368-31-6
8BETA-顺芷酸喘诺木烯内酯
-
CAS号:72715-02-7
冬青醇
-
CAS号:816456-90-3
(4AS,7S)-5,6,7,8-四氢-7-羟基-7-(1-羟基-1-甲基乙基)-1,4A-二甲基-2(4AH)-萘酮
-
CAS号:150150-61-1
11,13-二氢依瓦菊林
-
CAS号:69978-82-1
异木香酸
-
CAS号:80368-31-6
8BETA-顺芷酸喘诺木烯内酯